Risoluzione grafica di particolari funzioni

Un'ellisse non rappresenta il grafico di una funzione, tuttavia esistono alcune particalari funzioni irrazionali che hanno come grafico un arco di ellisse. Vediamo alcuni esempi.

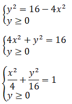
  • Esempio 1: Tracciare il grafico della funzione

    La funzione è definita per:

    16 - 4x2 ≥ 0

    Cioè

    -2 ≤ x ≥ 2

    Inoltre, la funzione è equivalente al sistema:

    e sviluppando il sistema si ottiene:

    Ora, nel sistema l'equazione rappresenta un'ellisse con i fuochi sull'asse y e semiassi a=2 e b=4, mentre la disequazione rappresenta una condizione: l'ordinata deve essere maggiore o uguale a zero. Per cui il grafico della funzione irrazionale è la semiellisse rappresentata in figura.

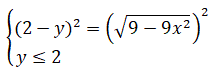
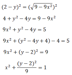
  • Esempio 2: Tracciare il grafico della funzione

    Isoliamo il radicale e se è opportuno cambiamo il segno a entrambi i membri:

    La condizione di esistenza del radicale è:

    9 - 9x2 ≥ → -1 ≤ x ≤ 1

    Mentre la condizione di concordanza di segno per il primo membro è:

    2 - y ≥ 0 → y ≤ 2

    Pertanto la funzione è equivalente al sistema:

    Sviluppando l'equazione si ottiene:

    l'equazione di un'ellisse traslata di due unità verso l'alto con i fuochi sull'asse y e semiassi a=1 e b=3. Tenendo conto che la disequazione impone che l'ordinata sia minore di 2 si ottiene la semiellisse rappresentata in figura.

© giuseppe sarnataro