Come determinare l'equazione di un'ellisse

Come possiamo determinare l'equazione di un'ellisse con centro di simmetria nell'origine e fuochi su uno degli assi cartesiani?

Le equazioni delle ellissi di questo tipo dipendono dai due parametri a e b pertanto sono necessarie due informazioni indipendenti. Queste due informazioni dette condizioni ci permettono di poter impostare un sistema di due equazioni nelle due incognite a e b. Ecco ad esempio alcune possibili condizioni:

  • sono note le coordinate di un fuoco e di un vertice;

  • sono note le lunghezze dei due semiassi;

  • sono note le coordinate di due punti non simmetrici appartenenti all'ellisse;

  • sono note le coordinate di un fuoco e l'eccentricità

  • sono note le coordinate di un vertice e l'eccentricità

  • sono note le coordinate di un punto appartenente all'ellisse e l'eccentrocità

  • sono note le coordinate di un vertice e l'equazione di una retta tangente all'ellisse.

Vediamo tre tipologie di problemi:

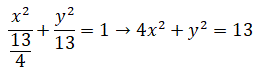
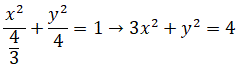
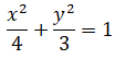
  • Problema 1: Determina l'equazione dell'ellisse che ha per vertici i punti A(-2, 0) e B(0, -√3).

    La conoscenza del vertice A(-2, 0) appartenente all'asse x ci informa che:

    2a = 4

    e quindi a2 = 4. La conoscenza del vertice B(0, -√3) appartenente all'asse y ci informa che:

    2b = 2√3

    e quindi b2 = 3. Pertanto l'equazione dell'ellisse è:

    Ecco il grafico:

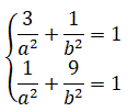
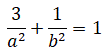
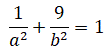
  • Problema 2: Determina l'equazione dell'ellisse passante per il punto A(√3, -1) e per il punto B(1, 3).

    Dalla condizione passaggio per A si ottiene l'equazione:

    Dalla condizione passaggio per B si ottiene l'equazione:

    Scriviamo il sistema costituito dalle due equazioni:

    Per risolvere più facilmente il sistema conviene porre:

    Con questo cambio di variabili il sistema diventa:

    che ha per soluzione:

    Tenendo conto del cambio di variabili effettuato si ottiene:

    Quindi l'equazione dell'ellisse è:

    Ecco il grafico:

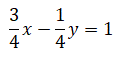
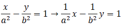
  • Problema 3: Determina l'equazione dell'ellisse tangente in A(1, -1) alla retta r di equazione y=3x-4.

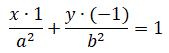
    Conoscendo le coordinate del punto di tangenza possiamo applicare la formula di sdoppiamento:

    Cioè:

    Quest'ultima equazione rappresenta l'equazione della retta tangente all'ellisse nel punto A(1, -1) e quindi è equivalente alla retta r. Possiamo quindi confrontare le due equazioni. Consideriamo la retta r scritta nella forma:

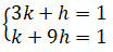
    Dal confronto si desume che:

    da cui si ottiene:

    Pertanto l'equazione dell'ellisse è:

    Ecco il grafico:

© giuseppe sarnataro