Ellissi traslate

Se trasliamo un'ellisse con un vettore otteniamo ancora un'ellisse, perchè una traslazione lascia invariate le distanze.

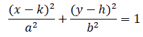
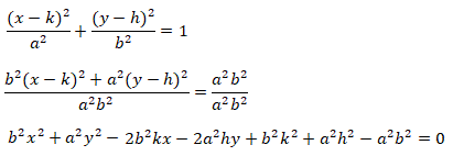
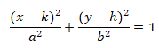
La traslazione lascia invarata la distanza focale e la somma costante delle distanze dei punti dell'ellisse dai fuochi. L'ellisse traslata però non ha più il centro nell'origine degli assi cartesiani e quindi l'equazione di un'ellisse traslata è diversa da quelle con centro nell'origine. Vediamo allora come possiamo determinare l'equazione di un'ellisse traslata. Consideriamo una generica ellisse con centro nell'origine degli assi:

e operiamo su di essa una traslazione con un vettore v(k, h). Le equazioni della traslazione sono:

Sostituiamo nell'equazione dell'ellisse alla x e alla y le relazione trovate:

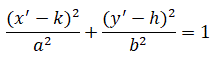
Ora, eliminando gli apici si ottiene l'equazione dell'ellisse traslata:

dove a e b sono le misure dei semiassi.

Se a > b i fuochi F1 e F2 sono sulla retta y = h e hanno coordinate:

F1(k-c, h); F2(k+c, h)

Invece, se a < b i fuochi F1 e F2 sono sulla retta x = k e hanno coordinate:

F1(k, h-c); F2(k, h+c)

Possiamo scrivere l'equazione di un'ellisse traslata in un altro modo se sviluppiamo le operazioni:

Ponendo A=b2, B=a2, C=-2b2k, D=-2a2h, E=b2k2+a2h2-a2b2 otteniamo l'equazione:

Ax2 + By2 + Cx + Dy + E = 0

Le coordinate (k, h) del centro dell'ellisse traslata in funzine dei coefficienti dell'equazione dell'ellisse sono:

Vediamo due esempi:

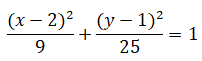
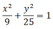
  • Esempio 1: Data l'ellisse di equazione:

    determina l'equazione dell'ellisse corrispondente alla traslazione di vettore v(2, 1) e rappresenta le due ellissi.

    Osserviamo che nell'ellisse iniziale a = 3 e b = 5, ed essendo b > a l'ellisse ha i fuochi sull'asse y. Essendo:

    le coordinate dei fuochi sono F1(0, -4) e F2(0, 4). Inoltre i vertici dell'ellisse sono:

    A1(-3, 0), A2(3, 0), B1(0, -5), B2(0, 5)

    L'equazioni dell'ellisse traslata con vettore v(2, 1) è:

    Sviluppando i calcoli si ottiene:

    Tutti i punti dell'ellisse iniziale subiscono la stessa traslazione ed essendo le equazioni della traslazione:

    x' = x + 2 e y' = y + 1

    possiamo determinare le coordinate del centro, dei fuochi e dei vertici dell'ellisse traslata:

    O' =(0 + 2, 0 + 1)

    F'1(0 + 2, -4 + 1), F'2(0 + 2, 4 + 1)

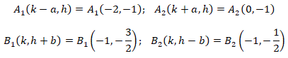
    A'1(-3 + 2, 0 + 1), A'2(3 + 2, 0 + 1)

    B'1(0 + 2, -5 + 1), B'2(0 + 2, 5 + 1)

    Ecco il grafico delle due ellissi:

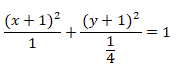
  • Esempio 2: Rappresenta l'ellisse di equazione x2 + 4y2 + 2x + 8y + 4 = 0

    Primo metodo: applicazione delle formule.

    L'equazione dell'ellisse è del tipo Ax2 + By2 + Cx + Dy + E = 0 pertanto il centro di simmetria ha coordinate:

    Ne segue che gli assi hanno equazioni x = -1 e y = -1. Per determinare i vertici dell'ellisse mettiamo a sistema l'equazione dell'ellisse con l'asse x oppure con l'asse y:


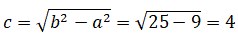
    I semiassi maggiore e minore misurano rispettivamente:

    La semi distanza focale misura:

    I fuochi hanno coordinate:

    Ecco il grafico:

    Secondo metodo: completamento del quadrato.

    Riscriviamo l'equazione dell'ellisse raggruppando i termini con la x e quelli con la y

    (x2 + 2x) + 4(y2 + 2y) + 4 = 0

    Per ottenere il quadrato di un binomio all'interno di ogni parentesi aggiungiamo un opportuno termine noto e togliamo lo stesso termine fuori dalle parentesi. nel nostro caso il termine noto è per entrambe le parentesi +1:

    (x2 + 2x +1) - 1 + 4(y2 + 2y + 1) 4⋅(- 1) + 4 = 0

    (x + 1)2 - 1 + 4(y + 1)2 - 4 + 4 = 0

    (x + 1)2 + 4(y + 1)2 = 1

    che è della forma:

    Gli assi dell'ellisse sono quindi:

    x + 1 = 0 → x = - 1 e y + 1 = 0 → y = - 1

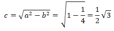
    Inoltre:

    O'(-1, -1), a2 = 1 → a = 1, b2 = 1/4 → b = 1/2, c2 = a2 - b2 = 3/4

    I vertici hanno coordinate:

    I fuochi hanno coordinate:

© giuseppe sarnataro