Retta tangente a un'ellisse

Quante rette tangenti a un'ellisse si possono tracciare passanti per un dato punto P?

Dipende dalla posizione del punto P rispetto all'ellisse.

  • Se P è esterno all'ellisse si possono tracciare due rette tangenti

  • Se P è un punto dell'ellisse si può tracciare una sola retta tangente

  • Se P è interno all'ellisse non si può tracciare nessuna retta tangente


Per determinare le rette tangenti a un'ellisse passante per un punto P(x0, y0) esterno alla parabola si procede cosí:

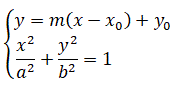
  • Si scrive l'equazione del fascio di rette proprio di centro P:

    y = m(x - x0) + y0

  • Si scrive il sistema formato dalle equazioni del fascio di rette e dell'ellisse:

  • Si scrive l'equazione risolvente del sistema e si impone il discriminante uguale a zero (condizione di tangenza).

  • Si ottiene un'equazione di secondo grado in m.

  • Si ricavono i due valori di m:

    m1;    m2

  • Si determinano le due rette sostituendo i due valori di m nell'equazione del fascio di rette:

    y = m1(x - x0) + y0;    y = m2(x - x0) + y0


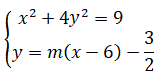
Ad esempio, determiniamo le tangenti all'ellisse

x2 + 4y2 = 9

passanti per il punto P(6, -3/2).

Scriviamo il sistema fascio-ellisse:


Scriviamo l'equazione risolvente del sistema:

(4m2 -1)x2 -12m(4m+1)x + 144m2 + 72 m = 0

Imponiamo il discrminante in forma ridotta uguale a zero:

Δ = [6m(4m+1)]2 -(1+4m2)(144m2 + 72m) = 0

Risolviamo l'equazione rispetto a m:

m1 = 0 e m2 = -2/3

Sostituiamo i due valori di m nell'equazione del fascio di rette:

y=-3/2    e    4x + 6y - 15 = 0


Il metodo per determinare le rette tangenti a un'ellisse passante per un punto P(x0, y0) esterno all'ellisse è valido anche nel caso in cui il punto P(x0, y0) appartenga all'ellisse. In questo caso quando si impone la condizione di tangenza, cioè la condizione che sia nullo il discriminante dell'equazione risolvente del sistema fascio-ellisse si ottiene un'equazione di secondo grado in m che ha per soluzioni due valori coincidenti di m cioè m1=m2.

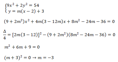
Ad esempio, troviamo l'equazione della tangente all'ellisse

9x2 + 2y2 = 54

passante nel suo punto P(2, 3).

Scriviamo il sistema fascio-ellisse, individuiamo l'equazione risolvente del sistema, imponiamo il discriminante uguale a zero e determiniamo m:


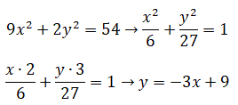
La retta tangente è quindi:

y = -3x + 9

Ecco il grafico:



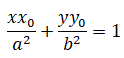
Nel caso in cui il punto P(x0, y0) appartenga all'ellisse si può usare la formula di sdoppiamento che permette di ottenere direttamente l'equazione della retta tangente all'ellisse in quel punto utilizzando l'equazione:



Ad esempio, applicando questa formula, possiamo determinare direttamente l'equazione della retta tangente all'ellisse

9x2 + 2y2 = 54

passante nel suo punto P(2, 3) dell'esempio precedente:

© giuseppe sarnataro