Posizione reciproca tra retta e ellisse

Una retta è esterna a un'ellisse se non ha nessun punto in comune con essa, è tangente all'ellisse se ha un solo punto in comune con essa, è secante se ha due punti in comune con essa.



Per determinare i possibili punti di intersezione tra una retta e un'ellisse si procede in maniera analoga a quanto fatto per la parabola. Bisogna risolvere il sistema formato dall'equazione della retta e dall'equazione dell'ellisse. L'equazione risolvente di tale sistema è un'equazione di secondo grado in x che può avere due, una o nessuna soluzione (le soluzioni sono le ascisse degli eventuali punti di intersezione tra la retta e l'ellisse). Se il discriminante dell'equazione risolvente è:

  • maggiore di zero si hanno due soluzione e la retta è secante all'ellisse

  • uguale a zero si ha una sola soluzione doppia e la retta è tangente all'ellisse

  • minore di zero allora la retta è esterna all'ellisse.

Vediamo alcuni esempi:

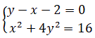
  • Esempio1: determiniamo gli eventuali punti di intersezione tra la retta

    y - x - 2 = 0

    e l'ellisse

    x2 + 4y2 = 16

    Impostiamo il sistema:


    Ricaviamo la x dalla prima equazione e sostituiamola in quella della seconda equazione otteniamo cosí l'equazione risolvente:

    (y - 2)2 + 4y2 = 16

    Svolgendo i calcoli si ha:

    5y2 - 4y -12 = 0

    Il discriminante dell'equazione è Δ = 256. E' maggiore di zero e quindi l'equazione ha due soluzioni distinte y=2 e y=-6/5, pertanto la retta interseca l'ellisse nei due punti A(0, 2) e B(-16/5, -6/5).

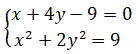
  • Esempio2: determiniamo gli eventuali punti di intersezione tra la retta

    x + 4y - 9 = 0

    e l'ellisse

    x2 + 2y2 = 9

    Impostiamo il sistema:


    Ricaviamo la x dalla prima equazione e sostituiamola in quella della seconda equazione otteniamo cosí l'equazione risolvente:

    (9 - 4y)2 + 2y2 = 9

    Svolgendo i calcoli si ha:

    y2 - 4y + 4 = 0

    Il discriminante dell'equazione è Δ = 0. E' uguale a zero e quindi l'equazione ha una sola soluzione doppia y=2, pertanto la retta è tangente all'ellisse nel punto A(1, 2).

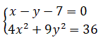
  • Esempio3: determiniamo gli eventuali punti di intersezione tra la retta

    x - y - 7 = 0

    e l'ellisse

    4x2 + 9y2 = 36

    Impostiamo il sistema:


    Ricaviamo la x dalla prima equazione e sostituiamola in quella della seconda equazione otteniamo cosí l'equazione risolvente:

    4(y + 7)2 + 9y2 = 36

    Svolgendo i calcoli si ha:

    13y2 + 56y + 160 = 0

    Il discriminante dell'equazione è Δ = -5184. E' minore di zero e quindi l'equazione non ha soluzioni pertanto la retta è esterna all'ellisse.

© giuseppe sarnataro