Ellisse con i fuochi sull'asse y

Esaminiamo, ora, il caso in cui l'ellisse abbia i fuochi sull'asse y. Il sistema di riferimento viene fissato in modo che i fuochi appartengono all'asse y e l'origine stia nel punto medio del segmento F1F2.


Il procedimento per determinare l'equazione delle ellissi di questo tipo è analogo a quello precedente anche se la somma costante delle distanze dei punti dell'ellisse dai fuochi è indicata con 2b:

PF1 + PF2 = 2b

e le coordinate dei fuochi sono:

F1(0, c) e F2(0, -c)

Eseguendo gli stessi passaggi effettuati per l'ellisse con i fuochi sull'asse x, ponendo però:

b2 - c2 = a2

si ottiene l'equazione:


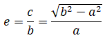
In questo caso però b è maggiore di a, il segmento B1B2 è maggiore del segmento A1A2 e quindi B1B2 è l'asse maggiore e A1A2 è l'asse minore. Inoltre, l'eccentricità diventa:

© giuseppe sarnataro