Simmetrie, vertici e assi dell'ellisse
Come si può facilmente notare l'ellisse è simmetrica sia rispetto all'asse x sia rispetto all'asse y e ha come centro di simmetria l'origine degli assi. Questo significa che se un punto P1(x1, y1) appartiene all'ellisse allora anche i punti:
P2(x1, -y1), P3(-x1, -y1), P4(-x1, y1)
appartengono all'ellisse.
![]()
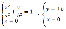
Mettendo a sistema l'equazione dell'ellisse e l'equazione dell'asse x e risolvendo il sistema si ottiene:
![]()
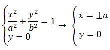
e i punti A1(-a, 0) e A2(a, 0) sono le intersezioni dell'ellisse con l'asse x. Analogamente mettendo a sistema l'equazione dell'ellisse e l'equazione dell'asse y e risolvendo il sistema si ottiene:
![]()
e i punti B1(0, -b) e B2(0, b) sono le intersezioni dell'ellisse con l'asse y.
![]()
I punti A1, A2, B1, B2 sono detti vertici dell'ellisse e i segmenti A1A2 e B1B2 sono detti assi dell'ellisse. Poichè a > b il segmento A1A2 è maggiore del segmento B1B2 pertanto il segmento A1A2 è l'asse maggiore e il segmento B1B2 è l'asse minore.
![]()
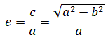
Il rapporto fra la semidistanza focale e il semiasse maggiore dell'ellisse è detto eccentricità ed è indicato con la lettera e:
![]()
Essendo a maggiore di c l'eccentricità è un numero reale compreso tra 0 e 1. Il valore numerico dell'eccentricità indica il grado di schiacciamento dell'ellisse sulla retta dell'asse maggiore. Nei casi limiti per e = 0 i due fuochi coinciderebbero e l'ellisse diventerebbe una circonferenza, invece per e = 1 i due fuochi coinciderebbero con i vertici A1 e A2 e l'ellisse diventerebbe un segmento.