L'ellisse come luogo geometrico

Da un punto di vista geometrico l'ellisse è il luogo dei punti P del piano per i quali è costante la somma delle distanze da due punti fissi F1 e F2 detti fuochi.

Vediamo ora, come possiamo tradurre in termini algebrici la definizione geometrica dell'ellisse. L'equazione dell'ellisse nel piano cartesiano dipende da come si fissa il sistema di riferimento. Esaminiamo, per ora, il caso più semplice: fissiamo il sistema di riferimento in modo che i fuochi appartengono all'asse x e l'origine stia nel punto medio del segmento F1F2.

Indichiamo con 2c la distanza focale tra F1 e F2 e con 2a la somma costante delle distanze dei punti dell'ellisse dai fuochi:

In questo modo le coordinate dei fuochi sono:

F1(-c, 0) e F2(c, 0)

Inoltre, se P(x, y) è un generico punto dell'ellisse le distanze di P dai fuochi sono:

e la somma di queste due distanze deve essere uguale a 2a:

Pertanto l'uguaglianza:

rappresenta l'equazione dell'ellisse con i fuochi appartenenti all'asse x. Questa equazione può essere resa più semplice eliminando le radici elevando più volte entrambi i membri al quadrato. In questo modo si ottiene l'equazione:

(a2 - c2)x2 + a2y2 = a2(a2 - c2)

e ponendo a2 - c2 = b2 l'equazione diventa:

b2x2 + a2y2 = a2b2

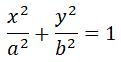
Dividendo entrambi i membri per a2b2 si ottiene:

Questa è l'equazione canonica o normale dell'ellisse. Osservazioni:

  • deve essere a2 ≠ b2 altrimenti si ottiene l'equazione di una circonferenza con centro nell'origine;

  • da a2 - c2 = b2 si deduce a > b;

  • Dal triangolo PF1F2, per una nota proprietà, si ha 2a > 2c cioè a > c.

© giuseppe sarnataro