tml lang="it"> La regola di Ruffini

La regola di Ruffini

L'algoritmo della divisione tra due polinomi può essere semplificato e reso più rapido se il divisore è un binomio di primo grado del tipo x − a (dove il coefficiente di x è uguale a 1 e a è un numero reale) applicando la regola di Ruffini. Essendo il divisore di primo grado, il resto sarà di grado zero, cioè sarà un numero reale non nullo o sarà il polinomio nullo, inoltre il grado del quoziente sarà uguale al grado del dividendo meno 1. Ad esempio, consideriamo i due polinomi

A(x) = x3 − 2x2 − 7, B(x) = x − 3

e eseguiamo la divisione A(x) : B(x) con la regola di Ruffini.

Primo passo: Ordiniamo il dividendo A(x) secondo le potenze decrescenti di x e inseriamo nello schema seguente i coefficienti, eventualmente uguali a zero, dei termini di ogni grado di A(x). Poniamo poi, a sinistra del primo tratto verticale, l'opposto del termine noto del divisore, cioè 3.

Secondo passo: Abbassiamo il primo coefficiente, 1, nel riquadro inferiore e moltiplichiamolo per 3; riportiamo il risultato, 3, sotto il secondo coefficiente ossia sotto − 2. Eseguiamo poi la somma algebrica del secondo coefficiente e del numero sottostante, cioè eseguiamo − 2 + 3; incolonniamo il risultato, 1, nel riquadro inferiore.

Terzo passo: Moltiplichiamo l'ultimo risultato, 1, di nuovo per 3; riportiamo il risultato, 3, sotto il terzo coefficiente ossia sotto 0. Eseguiamo poi la somma algebrica del terzo coefficiente e del numero sottostante, cioè eseguiamo 0 + 3; incolonniamo il risultato, 3, nel riquadro inferiore.

Terzo passo: Moltiplichiamo l'ultimo risultato, 3, di nuovo per 3; riportiamo il risultato, 9, sotto il termine noto del dividento e eseguiamo la somma algebrica cioè − 7 + 9; incolonniamo il risultato, 2, nel riquadro inferiore.

I coefficienti del polinomio quoziente, ordinato secondo le potenze decrescenti di x, sono dunque nell'ordine 1, 1 e 3 e il resto è 2. Poichè il quoziente Q(x) è un polinomio di grado uguale a quello del dividendo meno 1, quindi di secondo grado, si ha

Q(x) = x2 + x + 3.

Verifica: (x2 + x + 3)(x − 3) + 2 = x3 − 2x2 − 7

Due osservazioni:

  • se il divisore è un binomio del tipo x + a possiamo metterlo nella forma

    x − (− a)

    e applicare la regola di Ruffini. Ad esempio nella divisione

    (x4 + 5x3 - 2x - 10) : (x + 5)

    il divisore (x + 5) può essere messo nella forma [x - (-5)] e applicare la regola di Ruffini.

    e quindi Q(x) = x3 - 2 e R(x) = 0

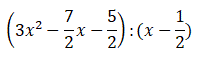
  • se il divisore è un binomio del tipo bx − a con b ≠ 1 possiamo dividere o moltiplicare entrambi i polinomi (dividendo e divisore) per una stessa quantità in modo che il divisore sia ancora del tipo x − a e applicare la regola di Ruffini ai nuovi polinomi. Il quoziente dei nuovi polinomi è identico a quello dei polinomi iniziali, il resto invece risulta moltiplicato o diviso per quella stessa quantità. Ad esempio nella divisione

    (6x2 - 7x - 5) : (2x - 1)

    dividendo entrambi i polinomi per 2 si ottiene

    Ora, il divisore è nella forma x - a e possiamo applicare la regola di Ruffini.

    quindi si ha Q(x) = 3x - 2 e R(x) = -7 (avendo diviso per 2 entrambi i polinomi iniziali il resto ottenuto dalla regola di Ruffini deve essere moltiplicato per 2).

© giuseppe sarnataro