Somma dei termini di una progressione geometrica

Scriviamo la somma Sn dei primi n termini di una progressione geometrica di ragione q≠1:

Sn = a1 + a2 + a3, ..., an

moltiplichiamo entrambi i membri per la ragione q:

q ⋅ Sn = a1 ⋅ q + a2 ⋅ q + a3 ⋅ q, ..., an ⋅ q

Ora, ogni termine della progressione moltiplicato per q dà il termine successivo per cui possiamo scrivere:

q ⋅ Sn = a2 + a3 + a4, ..., an + an ⋅ q

e sottraiamo membro a membro quest'ultima uguaglianza da quella iniziale:

Sn - q ⋅ Sn = a1 - an ⋅ q = a1 - a1 ⋅ qn

Raccogliendo Sn al primo membro e a1 al secondo membro si ottiene:

Sn(1 - q) = a1(1 - qn)

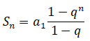
e dividendo entrambi i membri per (1 - q) si ottiene la formula per sommare i primi n termini di una progressione geometrica:


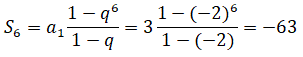
Ad esempio, calcoliamo la somma dei primi 6 termini della progressione geometrica:

3, -6, 12, -24, 48, - 96

Essendo a1=3, q=-2 e n=6 calcoliamo S6:

© giuseppe sarnataro