Le progressioni aritmetiche

Una successione aritmetica in cui è costante la differenza fra un termine e il suo precedente è detta progressione aritmetica. La differenza costante fra un termine e il suo precedente viene chiamata ragione della progressione e viene indica con d. Ad esempio la successione:

1, 3, 5, 7, 9, 11, ...

è una progressione aritmetica: il primo termine è 1, la ragione è d = 2 e il termine generico è an = 2n + 1.

La successione dei cubi dei numeri naturali diversi da zero:

1, 8, 27, 64, 125, ...

non è una progressione aritmetica perchè non è costante la differenza fra un termine e il suo precedente:

8 - 1 = 7;     27 - 8 = 19     64 - 27 = 37

Una progressione aritmetica di ragione d è:

  • crescente (tende a +∞) se d > 0.

    Ad esempio la progressione 1, 5, 9, 13, 17, 21, ... di ragione d = 4 è crescente.

  • decrescente (tende a -∞) se d < 0.

    Ad esempio la progressione 1, -7, -15, -23, -31, -39, ... di ragione d = -8 è decrescente.

  • costante se d = 0.

    Ad esempio la progressione 4, 4, 4, 4, 4, 4, ... di ragione d = 0 è costante.


Le progressioni aritmetiche hanno particolari proprietà:

  • Relazione tra il primo termine a1 e il termine generico an.

    Se consideriamo una progressione di ragione d = 5 e di primo termine 2 si ha:

    2, 2+5, 2+5+5, 2+5+5+5, 2+5+5+5+5, ..., 2+5(n-1), ...

    Possiamo anche scrivere:


    Si intuisce che il termine generico risulta:

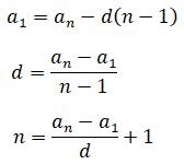
    an = a1 + d(n - 1)

    Da questa relazione è possibile calcolare il termine generico an, oppure il primo termine a1, oppure la ragione d, oppure l'indice n di un termine.


    In altre parole in una progressione aritmetica esistono delle relazioni tra i quattro numeri: an, a1, d, n e conoscendo tre di questi numeri è possibile determinare il quarto numero.

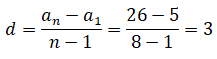
    Esempio 1: Qual è la progressione aritmetica che ha per primo termine 5 e per ottavo termine 26?

    Si conoscono: an = 26, a1 = 5, n = 8, possiamo quindi determinare d


    Possiamo ora scrivere la progressione aritmetica:

    5, 8, 11, 14, 17, 20, 23, 26, ...

    Esempio 2: Data la progressione di primo termine 4 e di ragione 3 qual è il centesimo termine della successione?

    Si conoscono: a1 = 4, d = 3, n = 100, possiamo quindi determinare a100

    a100 = a1 + d(100 - 1) = 4 + 3⋅99 = 301

  • Relazione tra due qualsiasi termini della progressione aritmetica.

    Consideriamo ancora la progressione di ragione d = 5 e di primo termine 2:

    2, 2+5, 2+5+5, 2+5+5+5, 2+5+5+5+5, ..., 2+5(n-1), ...

    e chiediamoci: esiste una possibile relazione tra due qualunque termini? Ad esempio esiste una relazione tra a5 e a2?

    Consideriamo la differenza tra i due termini:

    a5 - a2 = 2+5+5+5+5 - (2+5) = 5+5+5 = 5(5-2)

    Cioè la differenza tra a5 e a2 è uguale al prodotto della ragione d per la differenza tra i due indici dei termini considerati. In generale se at e as sono due termini di una progressione aritmetica e t > s vale:

    at = as + (t - s)d

    Questa relazione permette di calcolare la ragione di una progressione conoscendo due termini qualsiasi e il posto che essi occupano nella progressione.


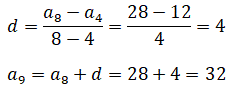
    Esempio 3: Qual è il termine a9 di una progressione se a4=12 e a8=28?

    Si conoscono: a4 = 12, a8 = 28 possiamo quindi determinare d e poi a9


  • Relazione fra tre termini consecutivi.

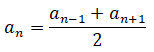
    Consideriamo tre termini consecutivi an-1, an, an+1 di una progressione aritmetica. Per definizione si ha:

    an - an-1 = an+1 - an

    Cioè

    2an = an+1 + an-1

    da cui


    In generale,

    in una progressione aritmetica ogni termine, a partire dal secondo, è uguale alla media aritmetica tra quello precedente e quello successivo.

    Esempio 4: Inserire quattro medi aritmetici fra i numeri 5 e 25.

    La successione sarà:

    5, a2, a3, a4, a5, 25, ...

    Calcoliamo la ragione d:


    Calcoliamo i medi:

    a2 = 5 + 4 = 9;   a3 = 9 + 4 = 13;   a4 = 13 + 4 = 17;   a5 = 17 + 4 = 21

  • Somma di due termini equidistanti dagli estremi.

    Consideriamo i primi otto termini di una progressione di estremi 6 e 62 e di ragione 8:

    6, 14, 22, 30, 38, 46, 54, 62

    I termini 14 e 54 sono equidistanti dai due estremi e sono equidistanti dagli estremi anche le coppie 22 e 46, 30 e 38. Ora, se sommiamo ogni coppia equidistante dagli estremi:

    14 + 54 = 68;   22 + 46 = 68;   30 + 38 = 68

    otteniamo la stessa somma che è uguale alla somma dei termini estremi.

    In generale,

    se consideriamo un numero finito di termini consecutivi di una progressione aritmetica, la somma di due termini equidistanti dagli estremi è costante ed è uguale alla somma dei termini estremi.

© giuseppe sarnataro