Le progressioni geometriche

Una successione aritmetica in cui è costante il quoziente fra un termine e il suo precedente è detta progressione geometrica. Il rapporto costante fra un termine e il suo precedente viene chiamato ragione della progressione e viene indica con q. Ad esempio la successione:

1, 4, 16, 64, 256, 1024, ...

è una progressione geometrica di ragione q = 4 e ogni termine si ottiene moltiplicando per 4 il termine precedente.

Invece la successione dei quadrati dei numeri naturali diverso da zero

1, 4, 9, 16, 25, 36, ...

non è una progressione geometrica.

In generale, in una progressione geometrica di ragione q un termine qualunque si ottiene dal precedente moltiplicando per q oppure dal seguente dividendo per q.

Da ciò si deduce che in una progressione geometrica di ragione q i termini sono tutti positivi o negativi se q > 0, mentre sono alternativamente di segno opposti se q < 0 e nessun termine della progressione geometrica può essere uguale a zero.

Una progressione geometrica di ragione q è:

  • crescente se q > 1 e i termini sono positivi, oppure se 0 < q < 1 e i termini sono negativi.

    Ad esempio la progressione 1, 2, 4, 8, 16, 32, ... di ragione q = 2 è crescente.

    E' crescente anche la progressione di ragione q=1/2.

  • decrescente se 0 < q < 1 e i termini sono positivi, oppure se q > 1 e i termini sono negativi.

    Ad esempio, la progressione di ragione q=1/2 è decrescente.

    Ed è decrescente anche la progressione -2, -6, -18, -54, -162, ... di ragione q = 3.

  • costante se q = 1.

    Ad esempio la progressione 4, 4, 4, 4, 4, 4, ... di ragione q = 1 è costante.


Vediamo alcune proprietà delle progressioni geometriche:

  • Relazione tra il primo termine e l'ennesimo termine.

    Se consideriamo una progressione geometrica di ragione q = 3 e di primo termine 2 si ha:

    2, 2⋅3, 2⋅32, 2⋅33, 2⋅34, ..., 2⋅3n-1, ...

    Possiamo anche scrivere:


    Si intuisce che il termine an è uguale al prodotto del primo termine, a1, per la potenza della ragione con esponente (n - 1):

    an = a1 ⋅ q(n - 1)

    (Se l'indice n parte da 0 cioè se il primo termine della progressione è a0 allora la relazione diventa an=a0 ⋅ qn).

    Ora, da questa relazione segue che:


    Esempio 1: Qual è il settimo termine, a7, di una progressione geometrica di ragione q=2 in cui il primo termine è a1=4?

    Si conoscono: a1 = 4, q = 2, n = 7, possiamo quindi determinare a7

    a7 = a1 ⋅ q7-1 = 4 ⋅ 26 = 256

    La progressione geometrica è quindi:

    4, 8, 16, 32, 64, 128, 256, ...

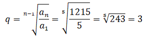
    Esempio 2: Qual è la ragione della progressione geometrica di primo termine 5 e sesto termine 1215?

    Si conoscono: a1 = 5, a6 = 1215, n = 6, possiamo quindi determinare q


    La progressione geometrica è quindi:

    5, 15, 45, 135, 405, 1215, ...

  • Relazione tra due qualsiasi termini.

    Consideriamo la progressione geometrica di ragione q = 6 e di primo termine 3:

    3, 3⋅6, 3⋅62, 3⋅63, 3⋅64, ..., 3⋅6n-1, ...

    Esiste una possibile relazione tra due qualunque termini? Ad esempio esiste una relazione tra a5 e a2?

    Consideriamo i due termini:

    a5 = 3⋅64;   a2 = 3⋅6

    Possiamo scrivere:

    a5 = 3⋅6 ⋅ 63 = a2 ⋅ 65-2

    Cioè a5 è uguale al prodotto di a2 per la ragione q avente per esponente la differenza tra i due indici dei termini considerati.

    In generale, se at e as sono due termini di una progressione geometrica vale:

    at = as ⋅ q(t - s)

  • Inserimento di medi geometrici fra due numeri dati.

    Consideriamo due numeri reali positivi, ad esempio 2 e 1250 e scriviamo la progressione geometrica in modo che il primo termine sia 2 e il quinto termine sia 1250. In altre parole vogliamo determinare i tre termini a2, a3, a4 della progressione geometrica:

    2, a2, a3, a4, 1250, ...

    Conoscendo a1=2 e a5=1250 possimo determinare la ragione q


    Ora, possiamo determinare i tre termini della progressione:

    a2 = 2 ⋅ 5 = 10;   a3 = 10 ⋅ 5 = 50;   a4 = 50 ⋅ 5 = 250

    La progressione geometrica è quindi:

    2, 10, 50, 250, 1250, ...

    In questa progressione geometrica possiamo verificare che:

    10 è la media geometrica tra 2 e 50:


    50 è la media geometrica tra 10 e 250:


    250 è la media geometrica tra 50 e 1250:


    In generale, ogni termine di una progressione geometrica è la media geometrica tra il precedente e il successivo.

    Esempio: Quale numero bisogna inserire tra 6 e 54 in modo che si formi una progressione geometrica?

    Il numero da inserire è uguale alla media geometrica tra 6 e 54, cioè:


  • Prodotto di due termini equidistanti dagli estremi.

    Consideriamo i primi otto termini di una progressione geometrica di estremi 2 e 4374 e di ragione 3:

    2, 6, 18, 54, 162, 486, 1458, 4374

    I termini 6 e 1458 sono equidistanti dai due estremi e sono equidistanti dagli estremi anche le coppie 18 e 486, 54 e 162. Ora, se moltiplichiamo i due termini di ciascuna coppia equidistante dagli estremi:

    6 ⋅ 1458 = 8748;   18 ⋅ 486 = 8748;   54 ⋅ 162 = 8748

    otteniamo lo stesso prodotto che è uguale al prodotto dei due termini estremi: 2 ⋅ 4374 = 8748.

    In generale, se consideriamo un numero finito di termini consecutivi di una progressione geometrica, il prodotto di due termini equidistanti dagli estremi è costante ed uguale al prodotto dei termini estremi.

  • Prodotto di termini consecutivi di una progressione geometrica.

    Consideriamo la progressione geometrica:

    a1, a2, a3, a4, ..., an-1, an, ...

    e determiniamo il prodotto Pn dei primi n termini:

    Pn = a1⋅a2⋅a3⋅a4⋅ ...⋅an-1⋅an

    Applicando la proprietà commutativa possiamo scrivere:

    Pn = an⋅an-1⋅an-2⋅an-3⋅ ...⋅a2⋅a1

    Moltiplicando le due uguaglianze e applicando la proprietà associativa si ottiene:

    Pn2 = (a1⋅an)⋅(a2⋅an-1)⋅ ...⋅(an⋅a1)

    Ora, come sappiamo tutti i prodotti all'interno delle parentesi tonde sono uguali tra loro e uguali a: a1⋅an. Possiamo quindi scrivere:

    Pn2 = (a1⋅an)n

    Cioè:


    Ad esempio determiniamo il prodotto dei primi quattro termini della progressione geometrica:

    4, 12, 36, 108, ...

    Conoscendo a1=4, a4=108 e n=4 possiamo determinare P4:


© giuseppe sarnataro