Somma dei primi n termini di una progressione

Consideriamo i primi n termini di una progressione aritmetica

a1, a2, a3, ..., an-2, an-1, an

e indichiamo con Sn la loro somma

Sn = a1 + a2 + a3 + ... + an-2 + an-1 + an

Sappiamo che, se consideriamo un numero finito di termini consecutivi di una progressione aritmetica, la somma di due termini equidistanti dagli estremi è costante ed uguale alla somma dei due termini estremi, cioè:

a1 + an = a2 + an-1 = a3 + an-2 + ...

Pertanto la somma dei primi n termini di una progressione aritmetica è uguale a n/2 addendi tutti uguali a a1 + an. Cioè:


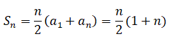
Esempio 1: Calcoliamo la somma dei primi n numeri naturali.

Essendo a1 = 1 e an = n si ha:


Supponendo n = 100, la somma dei primi 100 numeri naturali è:


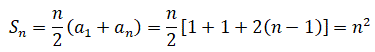
Esempio 2: Calcoliamo la somma dei primi n numeri dispari.

Essendo a1 = 1 e an = 1 + 2(n-1) si ha:


Supponendo n = 100, la somma dei primi 100 numeri dispari è:


Esempio 3: Calcoliamo la somma dei primi n numeri pari.

Essendo a1 = 0 e an = 0 + 2(n-1) = 2(n - 1) si ha:


Supponendo n = 100, la somma dei primi 100 numeri pari è:


Esempio 4: Calcoliamo la somma dei primi quaranta numeri della progressione

7, 10, 13, 16, 19, ...

Calcoliamo la ragione d = 10 - 7 = 3.

Calcoliamo il quarantesimo termine della progressione

a40 = a1 + d(40 - 1) = 7 + 3⋅39 = 124

Calcoliamo la somma

© giuseppe sarnataro