Numeri di Fibonacci e numero aureo
La sequenza numerica:
1, 1, 2, 3, 5, 8, 13, 21, 34, 55, 89, 144, 233, ...
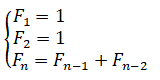
è chiamata successione di Fibonacci e i suoi termini numeri di Fibonacci in onore del matematico Leonardo da Pisa detto filio Bonacci o Fibonacci (1175-1240). In questa successione ogni termine dopo il secondo è uguale alla somma dei due termini che lo precedano immediatamente nella successione. Questa sequenza numerica può essere definita ricorsivamente:
![]()
La successione di Fibonacci è famosa perchè è molto presente in natura, ad esempio, il numero dei petali di un fiore è quasi sempre un numero della successione di Fibonacci.
![]()
I numeri di Fibonacci posseggono un considerevole numero di curiosità come quella scoperta da Keplero nel 1611:
il rapporto tra un numero di Fibonacci e quello precedente oscilla intorno a un numero al quale si avvicina sempre di più e quel numero è il rapporto aureo.
![]()
Volendo essere più rigorosi dovremmo scrivere:
![]()
che si legge il limite per n che tende all'infinito il rapporto fra n-simo numero di Fibonacci e quello precedente è uguale al numero aureo.
Il matematico francese Jacques Philippe Marie Binet (1786-1856) scoprì una formula (chiamata in suo onore formula di Binet) che permette di determinare direttante l'n-esimo numero di Fibonacci senza conoscere i due numeri precedenti. Questa formula ha due particolarità: la presenza del rapporto aureo
![]()
e pur contenente numeri irrazionali fornisce al variare di n esattamente i numeri di Fibonacci che sono numeri naturali.
Essendo:
![]()
La formula di Binet può essere scritta anche così:
![]()