Numero aureo

Il numero irrazionale

chiamato numero aureo o proporzione divina o rapporto aureo e indicato con la lettera greca φ (si legge phi) rappresenta il rapporto che intercorre tra le due parti in cui è diviso un segmento in modo che la parte maggiore sia medio proporzionale tra l'intero segmento e la parte minore.

Dato un segmento AB possiamo dividerlo in due parti in infiniti modi, ma in un solo caso abbiamo che il rapporto tra tutto il segmento e la sua parte maggiore sia uguale al rapporto tra la parte maggiore e la parte minore, cioè che la parte maggiore sia media proporzionale fra l'intero segmento e la parte restante. E in questo caso i due rapporti sono uguali al numero aureo. Euclide nei suoi Elementi denomina questo rapporto con il nome proporzione estrema e media e indica come si può dividere un segmento in proporzioni auree con solo riga e compasso. Dato il segmento AB si traccia il segmento BC uguale alla metà di AB e perpendicolare ad AB. Si traccia il segmento AC e la circonferenza con centro in C e raggio BC e si indica con D il punto di intersezione tra AC e la circonferenza. Si traccia, infine, un'altra circonferenza con centro in A e raggio AD. Il punto E d'intersezione tra la circonferenza e il segmento AB divide quest'ultimo in proporzioni auree.

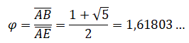
  • AB è il segmento dato, AE = a è la parte maggiore, EB = b è la parte minore;

  • AB/AE = AE/EB = a/b è il rapporto aureo;

  • AE è detta sezione aurea del segmento AB.

Possiamo quindi scrivere la proposizione:

(a + b) : a = a : b

Cioè

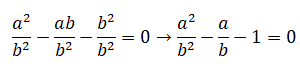
(a + b) ⋅ b = a2 → a2 - ab - b2 = 0

e dividendo entrambi i membri per b2 si ha:

Ponendo a/b = x otteniamo l'equazione di secondo grado:

x2 - x - 1 = 0

Che ha per soluzioni:

Tra le due soluzioni possibili bisogna considerare solo quella positiva essendo un rapporto tra due segmenti:

Da questa relazione si deduce che φ ha una duplice natura; è un rapporto tra due segmenti ma è anche un ben definito numero reale irrazionale ma non trascendente come pi greco perchè può essere ottenuto come soluzione di un'equazione a coefficienti razionali e quindi è un numero algebrico e come si è visto è anche un numero costruibile con riga e compasso. Inoltre, essendo φ un numero irrazionale si deduce anche che due segmenti tali che l'uno sia la sezione aurea dell'altro sono fra loro incommensurabili.

Fu il matematico statunitense Mark Barr (1871-1950) a scegliere il simbolo φ in onore dello scultore e architetto ateniese Fidia che utilizzò spesso il rapporto aureo nelle sue sculture. Prima di Mark Barr il rapporto aureo veniva indicato con la lettera greca τ (si legge tau ed è l'iniziale della parola greca taglio). Fu Luca Pacioli (1445-1517) nel suo De divina proportione pubblicato a Venezia nel 1509 ad utilizzare i termini sezione aurea e divina proporzione.

Una proprietà caratteristica del rapporto aureo è che si sviluppa in forme autosimili, ad esempio sia AC la sezione aurea del segmento AB e CB la parte di segmento rimanente, ora se con il compasso puntando in C riportiamo la lunghezza CB sul segmento AC otterremo un nuovo punto C1 e il segmento AC risulterà diviso in due parti dove CC1 rappresenta la sezione aurea di AC e AC1 la parte di segmento rimanente. Riportando AC1 sul segmento C1C quest'ultimo risulterà diviso in due parti dove C1C2 rappresenta la sezione aurea di C1C e C2C la parte di segmento rimanente.

Possiamo andare avanti all'infinito, riportando sempre il segmento minore sul maggiore, ottenendo sempre una suddivisione aurea.

Un'altra proprietà geometrica del rapporto aureo è: se un segmento AC è diviso dal punto B in modo che sia AB la parte maggiore medio proporzionale tra AC e BC allora il quadrato costruito su AB avrà la stessa area del rettangolo che ha per lati l'intero segmento (AC=CD) e la parte restante BC. Nella figura le aree del quadrato e del rettangolo sono equivalenti.

Il rapporto aureo ha da sempre suscitato curiosità e un particolare fascino tanto che Keplero dichiarò:

La geometria ha due grandi tesori: uno è il teorema di Pitagora; l'altro è la sezione aurea di un segmento. Il primo possiamo paragonarlo a un oggetto d'oro; il secondo possiamo definirlo un prezioso gioiello.

L'interesse verso il numero aureo deriva dal fatto che possiede numerose proprietà sia geometriche che numeriche che spuntano fuori anche in ambiti molto diversi tra loro come la disposizione dei semi di un fiore di girasole o alla forma di una conchiglia. Inoltre, il numero aureo, è stato associato alla bellezza, all'armonia e alla perfezione e per tale motivo è stato utilizzato da alcuni architetti e scultori greci e da molti artisti rinascimentali.



© giuseppe sarnataro