Curiosità sul numero aureo

Oltre alle proprietà geometriche il numero aureo presenta anche particolari proprietà algebriche alcune delle quali sono uniche e sorprendenti che rappresentano delle vere curiosità.

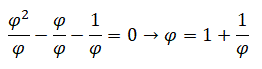
  • φ è l'unico numero positivo il cui quadrato supera di una unità il numero stesso:

    φ2 = φ + 1

    Infatti, dall'equazione

    x2 - x - 1 = 0

    dove x rappresenta il rapporto aureo può essere scritta nella forma equivalente

    φ2 - φ - 1 = 0

    da cui si ricava la particolare proprietà.

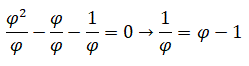
  • φ è l'unico numero positivo il cui reciproco è il numero stesso diminuito di una unità:

    Anche questa proprietà si ottiene dall'equazione φ2 - φ - 1 = 0. Infatti, dividendo entrambi i membri per φ si ha:

  • Qualunque potenza intera di φ è pari alla somma delle due potenze precedenti:

    φn = φn-1 + φn-2

    Infatti, l'equazione φ2 - φ - 1 = 0 può essere scritta nella forma equivalente:

    φ2 - φ1 - φ0 = 0

    E moltiplicando entrambi i membri per φn-2 si ottiene

    φn - φn-1 - φn-2 = 0

    Cioè

    φn = φn-1 + φn-2

    Da questa formula si possono ottenere altre interessanti equivalenze sulle potenze di φ. Ad esempio per n = 3 si ha:

    φ3 = φ2 + φ1 → φ3 = 2φ + 1

    Per n = 4 si ha:

    φ4 = φ3 + φ2 → φ4 = 3φ + 2

    Per n = 5 si ha:

    φ5 = φ4 + φ3 → φ5 = 5φ + 3

    Per n = 6 si ha:

    φ6 = φ5 + φ4 → φ5 = 8φ + 5

    Per n = 7 si ha:

    φ7 = φ6 + φ5 → φ7 = 13φ + 8

    I numeri 1, 2, 3, 5, 8, 13, ... non sono casuali perchè sono i termini della successione di Fibonacci. Questo denota, come vedremo più avanti, che c'è un forte legame tra il rapporto aureo e la successione di Fibonacci.

  • La successione:

    1, φ, φ +1, 2φ + 1, 3φ + 2, 5φ + 3, 8φ + 5, 13φ + 8, ...

    dove ogni termine, dal terzo in poi, è la somma dei due precedenti può essere scritta nella forma equivalente:

    1, φ1, φ2, φ3, φ4, φ5, φ6, φ7, ...

    dove vale ancora che ogni termine, dal terzo in poi, è la somma dei due precedenti. Inoltre questa è una progressione geometrica dove la ragione è φ.

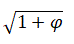
  • Una particolare rappresentazione di φ è data dall'espressione radicale

    Infatti, considerando l'equazione φ2 - φ - 1 = 0 possiamo scrivere:

    Ora, se sotto la radice quadrata sostituiamo φ con

    si ha:

    e sostituendo infinite volte φ si ottiene

    Troncando questa espressione si ottengono le varie approssimazioni di φ

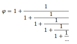
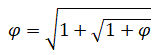
  • Un'altra particolare rappresentazione di φ è data dalla frazione continua

    Infatti, considerando l'equazione φ2 - φ - 1 = 0 possiamo scrivere:

    Ora, se nella frazione al denominatore sostituiamo φ con

    si ha:

    e sostituendo infinite volte φ si ottiene

    Troncando questa frazione continua si ottengono le varie approssimazioni di φ

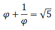
  • La somma di φ con il suo reciproco è uguale alla radice quadrata di cinque:

    Infatti sostituendo a φ il suo valore numerico si ha:

  • Il reciproco di φ è uguale a due volte il seno di pi greco decimi.

    Essendo il lato di un decagono regolare la sezione aurea del raggio della circonferenza circoscritta si ha:

    Essendo

    possiamo scrivere:

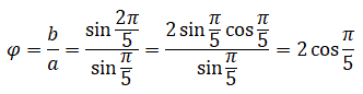
  • φ è uguale a due volte il coseno di pi greco quinti.

    Consideriamo un triangolo aureo e applichiamo il teorema dei seni:

    Essendo aureo il rapporto tra un lato e la base di un triangolo aureo possiamo scrivere:



© giuseppe sarnataro