Problemi di massimo e minimo

I problemi di massimo e minimo hanno un importante ruolo sia in matematica sia nelle applicazioni pratiche legate a scelte di ottimizzazioni. In generale nei problemi di ottimizzazione bisogna determinare il massimo o il minimo di una funzione in un dato intervallo. In modo equivalente possimo dire che in questi problemi c'è una grandezza dipendente y che varia in funzione di un'altra grandezza indipendente x e occorre determinare per quali valori della variabile x la grandezza y assume valore minimo o massimo. La procedura per risolvere questi tipi di problemi è:

  1. scegliere la variabile indipendente x ed esprimere il problema mediante una funzione f(x) della quale si cerca il minimo o il massimo assoluto;

  2. individuare l'intervallo I della variabile x;

  3. determinare il minimo o il massimo assoluto della funzione nell'intervallo I.

Vediamo alcuni esempi:

  • Esempio 1: Tra tutti i coni inscritti in una sfera di raggio r qual è quello di volume massimo?

    Consideriamo la sezione del solido (ottenibile con un piano passante per l'altezza del cono) costituita da un triangolo isoscele inscritto in una circonferenza.

    Scegliamo come variabile indipendente x l'altezza CH del cono e come variabile dipendente V(x) il volume del cono. La variabile x può assumere qualunque valore reale positivo nell'intervallo [0, 2r] cioè 0 ≤ x ≤ 2r. Il volume del cono dipende sia dall'altezza che dal raggio AH della base del cono. Dobbiamo quindi esprimere il raggio AH in funzione di x. Ciò è possibile se consideriamo il triangolo rettangolo ADC

    e applichiamo il secondo teorema di Euclide: l'altezza AH è media proporzionale delle proiezioni CH e HD dei cateti sull'ipotenusa:

    AH2 = CH ⋅ HD = x(2r - x)

    Essendo il volume del cono:

    La funzione V(x) da rendere massima nell'intervallo [0, 2r] è:

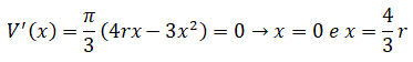
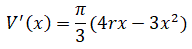
    La funzione è continua e derivabile in tutto l'intervallo, con derivata V'(x):

    Cerchiamo i punti dove la derivata è nulla:

    I due valori di x sono accettabili perchè appartengono entrambi all'insieme [0, 2r]. Sostituendo i valori di x nella funzione V(x) si ottiene:

    Pertanto si ha il cono di massimo volume per x=(4/3)r.

  • Esempio 2: Due numeri reali non negativi hanno somma 2. Determina i due numeri in modo che sia massima il prodotto del quadrato del primo per il cubo del secondo.

    Scegliamo come variabile indipendente x il primo numero e come variabile dipendente P(x) il prodotto del quadrato del primo per il cubo del secondo. La variabile x può assumere qualunque valore reale positivo nell'intervallo chiuso [0, 2] cioè 0 ≤ x ≤ 2. Essendo la somma dei due numeri uguale a 2 il secondo numero espresso in funzione del primo è 2 - x.

    La funzione P(x) da rendere massima nell'intervallo [0, 2] è:

    P(x) = x2 ⋅ (2 - x)3

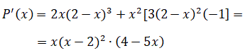
    La funzione è continua e derivabile in tutto l'intervallo, con derivata P'(x):

    Cerchiamo i punti dove la derivata è nulla:

    I tre valori di x sono accettabili perchè appartengono all'intervallo [0, 2]. Sostituendo i valori di x nella funzione P(x) si ottiene:

    P(0) = 0; P(2) = 0; P(4/5) = 3456/3125 = 1,10592

    E i due numeri sono 4/5 e 6/5.

  • Esempio 3: Tra tutti i rettangoli di data diagonale, che misura d, determina quello di area massima.

    Scegliamo come variabile indipendente x il lato AB e come variabile dipendente A(x) l'area del rettangolo. La variabile x può assumere qualunque valore reale positivo nell'intervallo chiuso [0, d] cioè 0 ≤ x ≤ d. Essendo l'area uguale al prodotto delle due dimensioni del rettangolo dobbiamo esprimere l'altra dimensione BC in funzione di x. Applicando il teorema di Pitagora al triangolo rettangolo ABC si ha:

    La funzione A(x) da rendere massima nell'intervallo [0, d] è:

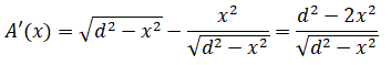
    La funzione è continua e derivabile in tutto l'intervallo escluso x=d, con derivata A'(x):

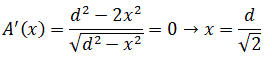
    Cerchiamo i punti dove la derivata è nulla:

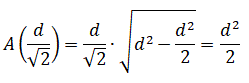
    Il valore di x è accettabile perchè appartiene all'intervallo [0, d]. Sostituendo il valore di x nella funzione A(x) si ottiene:

    Il rettangolo di area massima è il quadrato di lato d/√2.



© copyright giuseppe.com