Ricerca dei punti stazionari

Con il teorema di Fermat sappiamo che se una curva d'equazione y=f(x) presenta nel punto A(x0, f(x0)) un massimo o un minimo relativo allora si ha f'(x0)=0. I punti x0, che appertengono al dominio della funzione, in cui si ha y'=f'(x0)=0 sono detti punti stazionari. Per la definizione di derivata sappiamo anche che nel grafico di una funzione in corrispondenza di un punto stazionario la tangente alla curva è parallela all'asse delle x e quindi ogni punto stazionario può essere un massimo relativo o un minimo relativo o un flesso a tangente orizzontale.

Inoltre, con lo studio del segno di f'(x0) possiamo stabilire gli intervalli in cui la curva della funzione y=f(x) è crescente o decrescente. Ora, osservando il grafico di una funzione che presenta un massimo o un minimo relativo possiamo notare:

  • Se x0 è un punto di massimo relativo la curva cresce a sinistra di x0 e decresce a destra di x0. In altre parole nel punto di massimo relativo la curva cambia andamento passa da un andamento crescente ad uno decrescente.

  • Se x0 è un punto di minimo relativo la curva decresce a sinistra di x0 e cresce a destra di x0. In altre parole nel punto di minimo relativo la curva cambia andamento passa da un andamento decrescente ad uno crescente.

  • Se x0 è un punto di flesso a tangente orizzontale la curva cresce (o decresce) a sinistra di x0 e cresce (o decresce) a destra di x0. In altre parole nel punto di flesso a tangente orizzontale la curva non cambia andamento.

Possiamo allora stabilire un criterio per la ricerca dei punti stazionari di una funzione:

Sia f(x) una funzione continua in tutti i punti di un intorno I di x0 derivabile in I tranne al più in x0:

  1. Se in un intorno sinistro di x0 f'(x0)>0 e in un intorno destro di x0 f'(x0)<0 allora x0 è un punto di massimo relativo per f(x);

  2. Se in un intorno sinistro di x0 f'(x0)<0 e in un intorno destro di x0 f'(x0)>0 allora x0 è un punto di minimo relativo per f(x);

  3. Se sia in un intorno sinistro di x0 e sia in un intorno destro di x0 è f'(x0)>0 oppure è f'(x0)<0 allora x0 è un punto di flesso orizzontale per f(x).

Vediamo alcuni esempi:

  • Esempio 1: Determinare i punti stazionari della funzione

    f(x)=2x3-3x2+2

    individuandone il tipo.

    La funzione è continua in tutto l'insieme R. Calcoliamo la derivata prima della funzione:

    f'(x)=6x2-6x

    Risolviamo l'equazione f'(x)=0 per trovare i punti stazionari:

    f'(x)=6x2-6x=0 → x1 = 0, x2 = 1

    Studiamo il segno di f'(x) per individuare dove la funzione f(x) è crescente o decrescente

    f'(x)=6x2-6x>0 per x < 0 e x > 1

    f'(x)=6x2-6x<0 per 0 < x < 1

    Rappresentiamo i dati nello schema:

    Pertanto il punto x1 = 0 è un punto di massimo relativo perchè la funzione è crescente in un intorno sinistro di x1 ed è decrescente in un intorno destro di x1, mentre il punto x2 = 1 è un punto di minimo relativo perchè la funzione è decrescente in un intorno sinistro di x2 ed è crescente in un intorno destro di x2.

    Il grafico della funzione f(x) presenta un massimo relativo nel punto A(0, 2) e un minimo relativo nel punto B(1, 1).

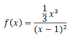
  • Esempio 2: Determinare i punti stazionari della funzione

    individuandone il tipo.

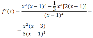
    La funzione è continua nell'insieme R-{-1}. Calcoliamo la derivata prima della funzione:

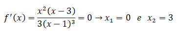
    Risolviamo l'equazione f'(x)=0 per trovare i punti stazionari:

    Studiamo il segno di f'(x) per individuare dove la funzione f(x) è crescente o decrescente

    Rappresentiamo i dati nello schema:

    Pertanto il punto x1 = 0 è un punto di flesso orizzontale crescente perchè la funzione è crescente sia in un intorno sinistro di x1 sia in un intorno destro di x1, mentre il punto x2 = 3 è un punto di minimo relativo perchè la funzione è decrescente in un intorno sinistro di x2 ed è crescente in un intorno destro di x2.

    Il grafico della funzione f(x) presenta un flesso orizzontale nel punto A(0, 0) e un minimo relativo nel punto B(3, 1).



© copyright giuseppe.com