Ricerca dei punti di flesso

Abbiamo già parlato del flesso a tangente orizzontale come punto x0 stazionario per il quale si ha f'(x0)>0 (oppure f'(x0)<0) in un intorno sinistro e destro di x0. Ora, utilizzando il concetto di funzione concava e convessa possiamo dare una definizione rigorosa di flesso.

Data una funzione f(x), definita e continua in [a, b], un punto x0 interno in tale intervallo è detto punto di flesso per la funzione f(x) se nell'intorno di questo punto il grafico della funzione cambia concavità, passando da concava a convessa (o viceversa) con continuità.

In modo equivalente si può anche dire:

Un punto x0 è un punto di flesso per la funzione f(x) se la retta tangente t passante per il punto x0 "attraversa" il grafico della funzione, cioè nell'intorno sinistro di x0 la curva si trova al di sotto della retta tangente t e nell'intorno destro si trova al di sopra di t o viceversa.

Un punto di flesso è detto a

  • tangente orizzontale se la retta tangente nel punto (x0, f(x0)) è parallela all'asse x;

  • tangente verticale se la retta tangente nel punto (x0, f(x0)) è parallela all'asse y;

  • tangente obliqua se la retta tangente nel punto (x0, f(x0)) non è parallela nè all'asse x nè all'asse y.

Dalla definizione di flesso possiamo dedurre il teorema che stabilisce una condizione necessaria per l'esistenza di un flesso in un punto x0 interno all'intervallo [a, b] in cui la funzione f(x) è continua insieme alle sue derivate prima e seconda:

Se la funzione f(x) ha un flesso nel punto x0 allora f"(x0)=0.

Questo teorema non è invertibile perchè la condizione f"(x0)=0 non è sufficiente a garantire che il punto x0 sia un flesso per la funzione f(x). In pratica il procedimento per la ricerca dei punti di flesso a tangenza obliqua o a tangenza orizzontale di una funzione è:

  1. calcolare la derivata prima e seconda della funzione;

  2. trovare gli zeri della derivata seconda;

  3. determinare il segno della derivata seconda;

  4. individuare tra gli zeri della derivata seconda quelli in cui la funzione cambia concavità;

  5. se x0 è un punto di flesso e:

    • f'(x0)=0 il flesso è orizzontale

    • f'(x0)≠0 il flesso è obliquo

    • se la funzione non è derivabile in x0 allora in x0 c'è un flesso verticale.

Vediamo alcuni esempi:

  • Esempio 1: Determinare gli eventuali punti di flesso della funzione:

    f(x) = x3 - 5x2 + 7x + 2

    Calcoliamo la deivata prima e la derivata seconda di f(x)

    • f'(x) = 3x2 - 10x + 7

    • f"(x) = 6x - 10

    Troviamo gli zeri e studiamo il segno di f"(x):

    • f"(x) = 6x - 10 = 0 → x = 5/3

    • f"(x) = 6x - 10 > 0 → x > 5/3

    • f"(x) = 6x - 10 < 0 → x < 5/3

    Riassumiamo in uno schema il segno di f"(x):

    Il punto x=5/3 è un flesso perchè è uno zero di f"(x) e f"(x) cambia segno nell'intorno di x=5/3, inoltre essendo f'(x0) diverso da zero il flesso è obliquo come si vede dal grafico della funzione.

  • Esempio 2: Determinare gli eventuali punti di flesso della funzione:

    Calcoliamo la deivata prima e la derivata seconda di f(x)

    Troviamo gli zeri e studiamo il segno di f"(x):

    Riassumiamo in uno schema il segno di f"(x):

    I punti x=-√3, x=0, x=√3 5/3 sono di flesso perchè sono zeri di f"(x) e f"(x) cambia segno nell'intorno di questi punti come si vede nel grafico della funzione

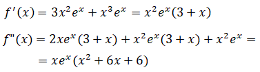
  • Esempio 3: Determinare gli eventuali punti di flesso della funzione:

    f(x) = x3ex

    Calcoliamo la deivata prima e la derivata seconda di f(x)

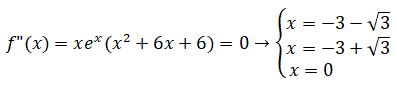
    Troviamo gli zeri e studiamo il segno di f"(x):

    Riassumiamo in uno schema il segno di f"(x):

    I punti x=-3-√3 e x=-3+√3 sono di flesso a tangente obliqua perchè sono zeri di f"(x) e f"(x) cambia segno nell'intorno di questi punti, mentre il punto x=0 è un punto di flesso a tangente orizzontale perchè f'(0)=0.

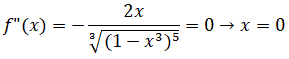
  • Esempio 4: Determinare gli eventuali punti di flesso della funzione:

    Calcoliamo la deivata prima e la derivata seconda di f(x)

    Troviamo gli zeri e studiamo il segno di f"(x):

    La funzione f(x) non ammette nè la derivata prima nè la derivata seconda in x = 1 inoltre per x = 0 f'(0)=0.

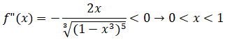
    Riassumiamo in uno schema il segno di f"(x):

    In x=0 la funzione ha un flesso a tangente orizzontale perchè f'(0)=0 mentre in x=1 ha un flesso a tangente verticale.



© copyright giuseppe.com