Funzioni concave e convesse

Una funzione f(x) definita in [a, b] è detta convessa (cioè volge la concavità verso l'alto) in [a, b] se preso un punto qualsiasi x0 di [a, b] il grafico della funzione in [a, b] si mantiene sopra la retta tangente in (x0, f(x0)).

Una funzione f(x) definita in [a, b] è detta concova (cioè volge la concavità verso il basso) in [a, b] se preso un punto qualsiasi x0 di [a, b] il grafico della funzione in [a, b] si mantiene sotto la retta tangente in (x0, f(x0)).

Si possono determinare gli intervalli in cui il grafico di una funzione è concava o convessa studiando il segno della derivata seconda della funzione:

Se la funzione f(x) è derivabile due volte in un intervallo I e se risulta:

  • f"(x)>0 per ogni x∈I allora f(x) è convessa in I;

  • f"(x)<0 per ogni x∈I allora f(x) è concava in I;

Vediamo alcuni esempi:

  • Esempio 1: Determinare gli intervalli nei quali la funzione

    f(x) = x3 - 2x2

    è convessa o concava.

    Calcoliamo la deivata prima e la derivata seconda di f(x)

    • f'(x) = 3x2 - 4x

    • f"(x) = 6x - 4

    Studiamo il segno di f"(x):

    • f"(x) = 6x - 4 > 0 → x > 2/3

    • f"(x) = 6x - 4 < 0 → x < 2/3

    Pertanto f(x) è convessa nell'intervallo (2/3, ∞), mentre è concava nell'intervallo (-∞, 2/3) come si può vedere dal grafico di f(x)

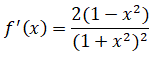
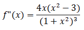
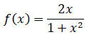
  • Esempio 2: Determinare gli intervalli nei quali la funzione

    è convessa o concava.

    Calcoliamo la deivata prima e la derivata seconda di f(x)

    Studiamo il segno di f"(x):

    Pertanto f(x) è convessa nell'intervallo

    è concava nell'intervallo

    come si può vedere dal grafico di f(x)



© copyright giuseppe.com