Crescenza e decrescenza di una curva

La derivata di una funzione y=f(x) ha numerose applicazioni sia nel campo della matematica sia in altre discipline. In matematica, ad esempio, lo studio della derivata di una funzione consente di conoscere le seguenti caratteristiche geometriche del grafico di una funzione y=f(x):

  • La pendenza della tangente al grafico di y=f(x) in un suo dato punto;

  • Gli intervalli dove il grafico di y=f(x) è crescente o decrescente;

  • Gli eventuali punti di massimo e minimo relativo del grafico di y=f(x);

  • Gli eventuali punti in cui il grafico di y=f(x) interseca l'asse x;

  • Gli eventuali intervalli dove il grafico di y=f(x) è concavo o covesso;

  • Gli eventuali punti di flesso del grafico di y=f(x).

Quando si studia il grafico di una funzione y=f(x) è importante conoscere in quali intervalli del dominio un arco della curva è crescente o è decrescente. Un arco di curva in un intervallo [a, b] è crescente se scelti due punti qualsiasi x1 e x2 appartenenti all'intervallo con

x2 > x1

si ha:

f(x2) > f(x1)

Analogamente, un arco di curva in un intervallo [a, b] è decrescente se scelti due punti qualsiasi x1 e x2 appartenenti all'intervallo con

x2 > x1

si ha:

f(x1) > f(x2)

Possiamo facilmente individuare gli intervalli in cui la curva è crescente o decrescente utilizzando un corollario del teorema di Lagrange:

Se in un intervallo (a, b) la derivata f'(x) di una funzione f(x) è sempre positiva, allora la funzione è in (a, b) crescente in senso stretto. Se f'(x) è sempre negativa, allora la funzione è in (a, b) decrescente in senso stretto.

Dimostrazione:

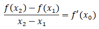
Supponiamo che sia f'(x)>0 in tutto l'intervallo (a, b) e siano x1 e x2 due punti qualsiasi di (a, b) con x2 > x1. Ora, il teorema di Lagrange applicato alla funzione f(x) nell'intervallo (x1, x2) assicura che esiste almeno un punto x0 in (x1, x2) tale che:

Essendo per ipotesi f'(x0)>0 e x2 > x1 ne segue che deve essere:

f(x2) - f(x1) > 0

cioè

f(x2) > f(x1)

e quindi la funzione f(x) è strettamente crescente.

Con analoghi ragionamenti si può dimostrare che se f'(x)<0 la funzione f(x) è strettamente decrescente.

  • Esempio 1: Indicare in quali intervalli la funzione:

    è strettamente crescente e in quali è strettamente decrescente.

    La funzione è definita per ogni valore della x. Calcoliamo la derivata della funzione:

    f'(x) = x2 + x - 2

    La derivata della funzione si annulla per x=-2 e x=1 per cui risulta:

    • f'(x) > 0 per x < -2 e x > 1

    • f'(x) < 0 per -2 < x < 1

    Ne segue che nei due intervalli infiniti x < -2 e x > 1 la funzione è crescente, mentre nell'intervallo -2 < x < 1 è decrescente come si può osservare dal grafico della funzione.

    Se tracciamo nello stesso piano cartesiano sia il grafico di f(x) sia il grafico di f'(x) possiamo facilmente notare il legame tra il segno della derivata della funzione e gli intervalli in cui la funzione cresce o decresce. Infatti, dove f'(x) è maggiore di zero l'arco di curva di f(x) è crescente e viceversa dove f'(x) è minore di zero l'arco di curva di f(x) è decrescente.

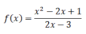
  • Esempio 2: Indicare in quali intervalli la funzione:

    è strettamente crescente e in quali è strettamente decrescente.

    La funzione è definita per ogni valore della x≠3/2. Calcoliamo la derivata della funzione:

    La derivata della funzione si annulla per x=1 e x=2 e dallo studio del segno della derivata

    risulta:

    • f'(x) > 0 per x < 1 e x > 2

    • f'(x) < 0 per 1 < x < 3/2 e 3/2 < x < 2

    Ne segue che nei due intervalli infiniti x < 1 e x > 2 la funzione è crescente, mentre negli intervalli 1 < x < 3/2 e 3/2 < x < 2 è decrescente come si può osservare dal grafico della funzione.



© copyright giuseppe.com