Massimi e minimi assoluti

Per la determinazione del minimo e del massimo assoluto di una funzione continua in un intervallo I consideriamo due possibili casi:

  • L'intervallo I è chiuso e limitato.

    In virtù del teorema di Weierstrass possiamo affermare con sicurezza che la funzione ammette sia il minimo sia il massimo assoluto. Questi due valori vanno ricercati tra:

    1. gli estremi dell'intervallo I

    2. i punti interni dell'intervallo I in cui f'(x)=0

    3. i punti di I in cui la funzione f(x) non è derivabile.

    Vediamo alcuni esempi:

    • Esempio 1: Determinare il minimo e il massimo della funzione

      f(x) = 3xe-x

      nell'intervallo [0, 3].

      La funzione è ovunque derivabile in (0, 3) e la derivata prima è:

      f'(x) = (3 - 3x)e-x

      e f'(x) = 0 per x = 1. I punti di massimo e minimo assoluti devono allora essere cercati nell'insieme {0, 1, 3}.

      f(0) = 0; f(1) = 3e-1; f(3) = 9e-3

      Pertanto x=0 è il punto di minimo ed il minimo assoluto è y=0 mentre x=1 è il punto di massimo ed il massimo assoluto è y=3e-1

    • Esempio 2: Determinare il minimo e il massimo della funzione

      f(x) = |x2 - 4x|

      nell'intervallo [1, 5].

      La funzione è continua in tutto l'intervallo [1, 5], inoltre si ha:

      Calcoliamo la derivata prima f'(x)

      e

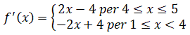
      la funzione è derivabile in [1, 5] escluso il punto x=4 in cui ha un punto angoloso.

      Inoltre, f'(x) = 0 per x = 2. I punti di massimo e minimo assoluti devono allora essere cercati nell'insieme {1, 2, 4, 5}.

      f(1) = 3; f(2) = 4; f(4) = 0; f(5) = 5

      Pertanto x=4 è il punto di minimo ed il minimo assoluto è y=0 mentre x=5 è il punto di massimo ed il massimo assoluto è y=5

  • L'intervallo I non è chiuso o non è limitato.

    Essendo l'intervallo non chiuso e limitato non vale il teorema di Weierstrass e quindi non si può stabilire a priori l'esistenza di un massimo e di un minimo assoluto della funzione in I. Per stabilirlo bisogna cercare questi valori tra:

    1. i punti interni dell'intervallo I in cui f'(x)=0

    2. i punti di I in cui la funzione f(x) non è derivabile

    3. i limiti della funzione agli estremi dell'intervallo I.

  • Vediamo un esempio:

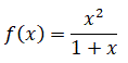
    • Esempio 3: Determinare il minimo e il massimo della funzione

      nell'intervallo [-4, -1[.

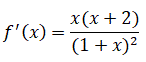
      La funzione è continua in tutto l'intervallo considerato e la derivata prima è:

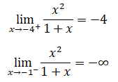
      Inoltre, f'(x) = 0 per x = -2 e x = 0 quest'ultimo valore è da escludere perchè non è compreso nell'intervallo preso in considerazione. I punti di massimo e minimo assoluti devono allora essere cercati nel punto stazionario f(-2) e nei limiti agli estremi dell'intervallo [-4, -1[.

      f(-2) = -4

      Pertanto x=-2 è il punto di massimo ed il massimo assoluto è y=-4 mentre l'estremo inferiore è -∞.



© copyright giuseppe.com