Applicazioni della trigonometria

Le nozioni della trigonometria trovano importanti applicazioni pratiche in molti campi ad esempio in topografia, astronomia e fisica. Vediamo qualche esempio.

  • Esempio 1: Determinare l'altezza di una torre con la base non accessibile.

    Un osservatore posto sulla riva del mare vede una torre posta su un isolotto sotto un angolo di 33°, retocedendo di 12 m la vede sotto un angolo di 30°. Qual è l'altezza della torre? Qual è la distanza della torre dalla riva?

    Consideriamo il triangolo rettangolo ABC e indichiamo con x il cateto AB e con h il cateto BC. Possiamo quindi scrivere

    e risolvendo rispetto a x si ha:

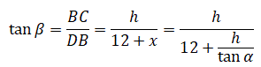
    Consideriamo ora, il triangolo rettangolo DBC

    Sviluppondo si ottiene

    Calcoliamo l'altezza della torre inserendo i dati del problema

    Possiamo ora, determinare la distanza della torre dalla riva del mare

  • Esempio 2: Determinare l'altezza di una montagna con la base e la cima non accessibile.

    Determinare l'altezza di una montagna rispetto al piano orizzontale passante per il punto C dove è posto un osservatore che vede la cima B sotto un angolo di 53°, spostandosi di 800 m vede la base C con un angolo di 104° e la cima con un angolo di 52°.

    Consideriamo il triangolo BCD; con il teorema dei seni determiniamo il lato BC.

    Consideriamo il triangolo rettangolo ABC e determiniamo AB.

    AB = BCsinα

    Sostituendo BC con la relazione precedente si ottiene

    Inserendo i dati del problema si ottiene

  • Esempio 3: Determinare la distanza tra due punti separati da un ostacolo.

    Determinare la distanza tra le due case A e B separate da un laghetto, ma ambedue accessibili sapendo che le distanze da un punto C da A e da B sono rispettivamente di 1 km e di 1,2 km e l'angolo ACB è di 40°.

    Consideriamo il triangolo ABC; con il teorema dei coseni determiniamo il lato AB.

© giuseppe sarnataro