Problemi sui triangoli con equazioni e disequazioni

Le relazioni introdotte con la trigonometria ci consentono di poter risolvere problemi geometrici in cui l'incognita rappresenta la misura di un angolo. Vediamo con alcuni esempi come è possibile risolvere tali problemi mediante la risoluzione di un'equazione o una disequazione in cui l'incognita è un angolo.

  • Esempio 1

    In una semicirconferenza di centro O e diametro AB = 2r, determina un punto P sull'arco AB, in modo che sia verificata la seguente relazione:

    3PA2 + 2PB2 = 9AO2

    Disegniamo la figura e scegliamo l'incognita.

    Dalla figura si osserva che la posizione del punto P dipende esclusivamente dall'ampiezza dell'angolo PAB pertanto conviene indicare con x tale angolo. Inoltre, essendo il triangolo APB rettangolo in P (triangolo inscritto in una semicirconferenza) l'angolo x può variare solo nell'intervallo

    0° ≤ x ≤ 90°

    Analizziamo i casi limite:

    • quando x = 0°, P coincide con B e il triangolo APB degenera nel segmento AB e AP = AB.

    • quando x = 90°, P coincide con A e il triangolo APB degenera nel segmento AB e AB = BP.

    In entrambi i casi limite la soluzione è diversa da quella nel problema e quindi possiamo escludere i casi limiti e assumere come dominio per x l'intervallo

    0° < x < 90°

    Considerando il triangolo rettangolo APB possiamo scrivere

    PA = 2rcosx;     PB = 2rsinx

    e sostituendo nella relazione da verificare si ottiene

    3(2rcosx)2 + 2(2rsinx)2 = 9r2

    Sviluppando si ottiene

    12r2cos2x + 8r2sin2x = 9r2

    12cos2x + 8(1 - cos2x) = 9

    4cos2x = 1 → cosx = 1/2 ∨ cosx = -1/2

    Cioè

    x = 60° ∨ x = 120°

    Tenendo conto del dominio della x l'unica soluzione è x = 60°

  • Esempio 2

    In una semicirconferenza di centro O e diametro AB = 2r, determina un punto P sull'arco AB, in modo che l'area del triangolo APB sia uguale a:

    Disegniamo la figura e scegliamo l'incognita.

    La posizione del punto P dipende dall'ampiezza dell'angolo PAB pertanto conviene indicare con x tale angolo. Inoltre, essendo il triangolo APB rettangolo in P (triangolo inscritto in una semicirconferenza) l'angolo x può variare solo nell'intervallo

    0° ≤ x ≤ 90°

    Analizziamo i casi limite:

    • quando x = 0°, P coincide con B e il triangolo APB degenera nel segmento AB e AP = AB.

    • quando x = 90°, P coincide con A e il triangolo APB degenera nel segmento AB e AB = BP.

    In entrambi i casi limite la soluzione è diversa da quella nel problema e quindi possiamo escludere i casi limiti e assumere come dominio per x l'intervallo

    0° < x < 90°

    Considerando il triangolo rettangolo APB possiamo scrivere

    PA = 2rcosx;     PB = 2rsinx

    Per cui l'area del triangolo APB è data da

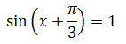
    Imponendo che l'area del triangolo sia quella indicata dal problema si ha

    Cioè

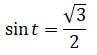
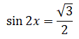
    Sostituendo l'argomento 2x con la variabile ausiliare t otteniamo l'equazione goniometrica elementare

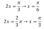
    che ha per soluzione

    e sostituendo 2x al posto di t si ha

    Esistono quindi due punti P1 e P2 che soddisfano le condizioni del problema.

  • Esempio 3

    Sia ABCD un quadrilatero inscritto in uma semicirconferenza di diametro AB=2r e avente il lato CD=r.

    a) Determinare l'ampiezza dell'angolo BAC in modo che sia AC+BD= 2√3 r. Calcolare l'area del quadrilatero ABCD in corrispondenza del valore trovato.

    b) Posto f(x)=AC+BD con r=1, verificare che la funzione f(x) assume valore massimo in corrispondenza al valore dell'angolo precedentemente trovato.

    Disegniamo la figura indicando con x l'angolo BAC.

    Osserviamo che la corda CD avendo misura r è il lato dell'esagono regolare inscritto nella circonferenza di diametro AB ne segue che l'angolo al centro sotteso dall'arco CD è di 60° e quindi gli angoli alla circonferenza sottesi dall'arco CD misurano 30° pertanto si ha:

    CAD = DBC = 30°

    L'ampiezza dell'angolo BAC indicato con x dipende dalla posizione della corda CD. Analizziamo i casi limite:

    • Quando il vertice C coincide con il vertice B il quadrilatero ABCD degenera nel triangolo rettangolo ACD, l'angolo x misura 0° e AC+BD=3r

    • Quando il vertice D coincide con il vertice A il quadrilatero ABCD degenera nel triangolo rettangolo ABC, l'angolo x misura 60° e AC+BD=3r

    • Poichè in entrambi i casi limite la somma AC+BD è diversa da quella richiesta dal problema possiamo escludere i casi limite e assumere come dominio per x l'intervallo 0° < x < 60°.

    Considerando il triangolo ABC si ha

    AC = ABcosx = 2rcosx

    Considerando il triangolo ABD si ha

    BD = ABsin(x+30°) = 2rsin(x+30°)

    Cioè

    Imponendo la condizione del problema si ottiene

    Semplificando si ottiene l'equazione lineare

    Con il metodo dell'angolo aggiunto l'equazione può essere riscritta nella forma

    che ha per soluzione

    Il problema ammette per soluzione x=30° e il quadrilatero ABCD risulta un trapezio isoscele con gli angoli alla base maggiore di 60° (può essere considerato anche come la metà dell'esagono regolare inscritto nella circonferenza di diametro AB).

    Come si vede dal grafico la funzione f(x) è ottenuta con una traslazione di vettore v(-Π/3, -1) sul grafico di sinx e assume il valore massimo quando l'angolo è di 30°.

© giuseppe sarnataro