Risoluzione di un triangolo qualsiasi

Con il teorema dei seni e il teorema del coseno siamo ora in grado di risolvere un qualsiasi triangolo conoscendo almeno un lato e altri due suoi elementi. Vediamo i vari casi che si possono verificare:

  • Esempio 1 Sono noti un lato e i due angoli adiacenti:

    Determina tutti gli elementi del triangolo ABC sapendo che il lato AB e gli angoli adiacenti a tale lato misurano rispettivamente 16 cm, 40° e 60°.

    Conoscendo due angoli possiamo facilmente determinare il terzo angolo

    γ = 180° - 40° - 60° = 80°

    Applicando due volte il teorema dei seni possiamo determinare le misure dei lati a e b.

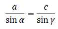
    Dalla relazione

    risolvendo rispetto ad a si ottiene

    Dalla relazione

    risolvendo rispetto a b si ottiene

  • Esempio 2 Sono noti due lati e l'angolo compreso fra di essi:

    Determina tutti gli elementi del triangolo ABC sapendo che i lati AB e BC e l'angolo compreso fra di essi misurano rispettivamente 12 cm, 20 cm e 65°.

    Conoscendo due lati e l'angolo compreso fra di essi possiamo determinare il terzo lato applicando il teorema del coseno

    Applicando il teorema dei seni possiamo determinare la misura dell'angolo α compreso tra i lati b e c.

    Dalla relazione

    risolvendo rispetto a sin α si ottiene

    e quindi

    Possiamo ora determinare il terzo angolo

    γ = 180° - 65° - 36° = 79°

  • Esempio 3 Sono noti i tre lati:

    Determina tutti gli elementi del triangolo ABC sapendo che i lati AB, BC e CA misurano rispettivamente 30 cm, 40 cm e 20 cm.

    Conoscendo i tre lati possiamo determinare l'angolo compreso tra due lati applicando il teorema del coseno. Dalla relazione

    risolvendo rispetto al cos α si ottiene

    e quindi

    Dalla relazione

    risolvendo rispetto al cos β si ottiene

    e quindi

    Possiamo ora determinare il terzo angolo

    γ = 180° - 104° - 29° = 47°

  • Esempio 4 Sono noti i due lati e un angolo non compreso fra di essi:

    Determina tutti gli elementi del triangolo ABC sapendo che i lati AC e CB e l'angolo α non compreso fra di essi misurano rispettivamente 20 cm, 16 cm e 45°.

    In questo caso la soluzione potrebbe non essere unica! Perchè? I tre criteri di uguaglianza sui triangoli garantiscono che se in un triangolo sono noti i seguenti tre elementi:

    1° criterio: due lati e l'angolo compreso fra di essi

    2° criterio: un lato e i due angoli adiacenti al lato noto

    3° criterio: tre lati

    il triangolo è unico. I dati del nostro problema non contempla nessuno di questi tre casi e quindi non esiste un criterio di uguaglianza che possa garantirci dell'unicità del triangolo. Con il teorema dei seni possiamo facilmente determinare l'angolo opposto a uno dei due lati noti e questo ci permetterà di capire se il triangolo non è unico. Se il seno determinato è compreso tra 0 e 1 (estremi esclusi) allora ci sono due angoli minori dell'angolo piatto che hanno lo stesso seno e quindi ci sono due possibili valori dell'angolo e due possibili triangoli.

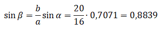
    Conoscendo i lati a e b e l'angolo α determiniamo l'angolo β opposto al lato b applicando il teorema dei seni. Utilizziamo la relazione

    per determinare sin β

    Essendo il valore del seno è compreso tra 0 e 1 ci sono due angoli con lo stesso seno

    Ci sono, quindi, due possibili valori per l'angolo β e due possibili triangoli. Possiamo individuare il secondo triangolo con una costruzione geometrica: tracciando la circonferenza con centro nel vertice C e raggio 16 cm, questa interseca il lato AB nel punto D; il triangolo ACD rappresenta il secondo triangolo che soddisfa i dati del problema.

    Consideriamo il triangolo ABC: avendo determinato β = 62° possiamo determinare il terzo angolo:

    γ = 180° - 45° - 62° = 73°

    e con il teorema dei seni determiniamo il terzo lato AB

    Consideriamo il triangolo ADC: avendo determinato β = 118° possiamo determinare il terzo angolo:

    γ = 180° - 45° - 118° = 17°

    e con il teorema dei seni determiniamo il terzo lato AD

© giuseppe sarnataro