Teorema dei seni

Consideriamo un triangolo qualsiasi ABC inscritto in una circonferenza

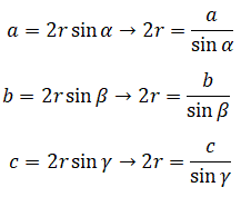
Per il teorema della corda possiamo scrivere:

Essendo i tre rapporti uguali alla misura del diametro della circonferenza possiamo esprimere le seguenti uguaglianze:

Pertanto (teorema dei seni):

Per qualunque triangolo è costante il rapporto fra la misura di un lato e il seno dell'angolo opposto.

Da questo teorema si deduce anche, che il rapporto tra le misure di due lati di un triangolo è uguale al rapporto tra i seni degli angoli rispettivamente opposti a tali lati.

© giuseppe sarnataro