Teorema della corda

Tramite le relazioni tra lati e angoli di un triangolo rettangolo possiamo determinare la misura di una corda di una circonferenza di raggio r in funzione degli angoli alla circonferenza che insistono sugli archi sottesi dalla corda. Consideriamo una circonferenza di raggio r, una sua corda AB e un angolo α che insiste sulla corda AB e sull'arco AB minore.

Tracciamo il diametro AD e congiungiamo il vertice B con D.

Il triangolo ABD è rettangolo in B perchè inscritto in una semicirconferenza, inoltre l'angolo ADB è uguale all'angolo ACB perchè insistono sullo stesso arco AB e quindi hanno la stessa misura α. Possiamo ora determinare la misura della corda AB utilizzando le relazioni tra lati angoli del triangolo rettangolo ABD:

AB = AD ⋅ sin α = 2r ⋅ sin α

Pertanto (teorema della corda):

In una circonferenza la misura di una corda è uguale al prodotto del diametro per il seno di uno degli angoli alla circonferenza che insistono sulla corda.

Vediamo con alcuni esempi:

  • Esempio 1: Data una circonferenza di raggio 10 cm determina la lunghezza di una corda AB, sapendo che un angolo alla circonferenza che insiste su essa è di 30°.

    Per il teorema della corda si ha:

    AB = 2r ⋅ sin 30° = 2⋅10⋅1/2 = 10 cm

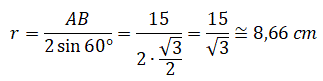
  • Esempio 2: Determina la lunghezza del raggio della circonferenza circoscritta al triangolo equilatero di lato 15 cm.

    Dal teorema della corda si sa che

    AB = 2r ⋅ sin 60°

    e risolvendo rispetto a r si ottiene:

  • Esempio 3: In una circonferenza di centro O e raggio r la corda AB misura r√2. Determina le misure degli angoli alla circonferenza che insistono sugli archi sottesi dalla corda AB.

    Dal teorema della corda si ha

    AB = 2r ⋅ sin α

    cioè

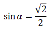
    r√2 = 2r ⋅ sin α

    e risolvendo rispetto a sin α si ottiene

    Questa equazione ammette due soluzioni:

    che sono le sole possibili ampiezze degli angoli alla circonferenza che insistono su uno dei due archi AB. In particolare gli angoli che insistono sull'arco minore di AB hanno per ampiezza la prima soluzione, mentre gli angoli che insistono sull'arco maggiore di AB hanno per ampiezza la seconda soluzione.

© giuseppe sarnataro