Risoluzione grafica di particolari funzioni
Alcune funzioni irrazionali rappresentate graficamente costituiscono porzioni di iperbole. Vediamo alcuni esempi.
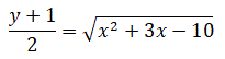
Esempio 1 Rappresentare graficamente la funzione:
![]()
Determiniamo il dominio della funzione ponendo il radicando maggiore o uguale a zero:
x2 + 3x - 10 ≥ 0 → x ≤ -5 ∨ x ≥ 2
Il dominio è quindi:
D = {x ∈ R | x ≤ -5 ∨ x ≥ 2 }
Nel piano cartesiano tracciamo le rette x=-5 e x=2 e escludiamo tutti i punti che hanno ascissa maggiore di -5 e minore di 2.
![]()
Isoliamo la radice:
![]()
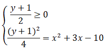
Tale equazione è equivalente al sistema:
![]()
Svolgendo si ottiene:
![]()
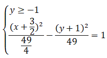
Traccamo la retta y=-1 e eliminiamo tutti i punti che hanno ordinata minore di -1. La seconda equazione del sistema rappresenta un'iperbole traslata di centro C(-3/2, 1), assi di simmetria x=-3/2 e y=-1.
![]()
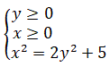
Esempio 2 Rappresentare graficamente la funzione:
![]()
Determiniamo il dominio della funzione ponendo il radicando maggiore o uguale a zero:
y2 - 9 ≥ 0 → y ≤ -3 ∨ y ≥ 3
Il dominio è quindi:
D = {y ∈ R | y ≤ -3 ∨ y ≥ 3 }
Nel piano cartesiano tracciamo le rette y=-3 e y=3 e escludiamo tutti i punti che hanno ordinata maggiore di -3 e minore di 3.
![]()
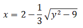
Isoliamo la radice:
![]()
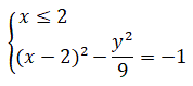
Tale equazione è equivalente al sistema:
![]()
Svolgendo si ottiene:
![]()
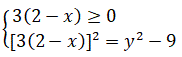
Traccamo la retta x=2 e eliminiamo tutti i punti che hanno ascissa maggiore di 2. La seconda equazione del sistema rappresenta un'iperbole traslata di centro C(2, 0), assi di simmetria x=2 e y=0.
![]()
Esempio 3 Rappresentare graficamente la funzione:
![]()
Per definizione di valore assoluto si ha:
![]()
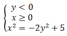
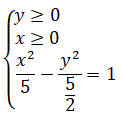
Cioè all'unione dei due sistemi:
![]()
Consideriamo il primo sistema: essendo il radicando sempre maggiore o uguale a zero il dominio del sistema è l'insieme dei numeri reali maggiori o uguali a zero. Il primo sistema è equivalente a:
![]()
La terza equazione del sistema rappresenta un'iperbole con centro di simmetria nell'origine degli assi e asse traverso sull'asse x:
![]()
Tenendo conto delle due condizioni y≥0 e x≥0 la rappresentazione grafica comprende solo la parte dell'iperbole che si trova nel primo quadrante:
![]()
Consideriamo il secondo sistema: il dominio del sistema è:
D = {y ∈ R | -√(5/2) ≤ y ≤ 0 }
Il secondo sistema è equivalente a:
![]()
La terza equazione del sistema rappresenta un'ellisse con centro di simmetria nel'origine degli assi:
![]()
Tenendo conto delle due condizioni y<0 e x≥0 la rappresentazione grafica comprende solo la parte dell'ellisse che si trova nel quarto quadrante:
![]()
Unendo i due grafici si ottiene la rappresentazione grafica della funzione data:
![]()