Iperbole traslate
Se trasliamo un'iperbole con un vettore otteniamo ancora un'iperbole, perchè una traslazione lascia invariate le distanze.
![]()
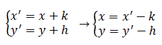
La traslazione lascia invarata la distanza focale e la differenza costante delle distanze dei punti dell'iperbole dai fuochi. L'iperbole traslata però non ha più il centro nell'origine degli assi cartesiani e quindi l'equazione di un'iperbole traslata è diversa da quelle con centro nell'origine. Vediamo allora come possiamo determinare l'equazione di un'iperbole traslata. Consideriamo una generica iperbole con centro nell'origine degli assi con i fuochi sull'asse x, e operiamo su di essa una traslazione con un vettore v(k, h). Le equazioni della traslazione sono:
![]()
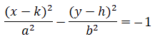
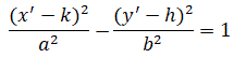
Sostituiamo nell'equazione dell'iperbole alla x e alla y le relazione trovate:
![]()
Ora, eliminando gli apici si ottiene l'equazione dell'iperbole traslata:
![]()
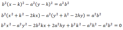
Con analoghi ragionamenti se consideriamo una generica iperbole con centro nell'origine degli assi con i fuochi sull'asse y, e operiamo una traslazione v(k, h) l'equazione dell'iperbole traslata è:
![]()
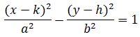
Nell'iperbole traslata di equazione
![]()
Le coordinate del centro sono O'(k, h)
Le coordinate dei fuochi sono F1(k-c, h); F2(k+c, h)
Le coordinate dei vertici reali sono A1(k-a, h); A2(k+a, h)
Le coordinate dei vertici non reali sono B1(k, h-b); B2(k, h+b)
Gli asintoti hanno equazioni![]()
Possiamo scrivere l'equazione di un'iperbole traslata in un altro modo se sviluppiamo le operazioni:
![]()
Ponendo A=b2, B=-a2, C=-2b2k, D=+2a2h, E=b2k2-a2h2-a2b2 otteniamo l'equazione dell'iperbole traslata:
Ax2 + By2 + Cx + Dy + E = 0
che è un'equazione di secondo grado in x e y con i coefficienti dei termini di secondo grado di segno opposti.
Le coordinate O'(k, h) del centro dell'iperbole traslata in funzione dei coefficienti dell'equazione di secondo grado dell'iperbole sono:
![]()
Vediamo due esempi:
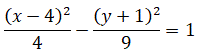
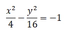
Esempio 1: Data l'iperbole di equazione:
![]()
determiniamo l'equazione dell'iperbole corrispondente nella traslazione di vettore v(4, -1) e rappresentiamo le due iperbole.
Osserviamo che l'iperbole data ha i fuochi sull'asse x. Inoltre:a = 2, b = 3, c = √13.
Le coordinate dei vertici reali sono A1(-2, 0) e A2(2, 0), mentre quelli non reali sono B1(0, -3) e B2(0, 3). Gli asintoti dell'iperbole sono y=±3x/2. L'equazione dell'iperbole traslata con vettore v(4, -1) è quindi:
![]()
Sviluppando i calcoli si ottiene:
9x2 - 4y2 - 72x - 8y + 104 = 0
Le coordinate del centro e dei vertici dell'iperbole traslata sono:
O'(4, -1), A'1(2, -1), A'2(6, -1), B'1(4, -4), B'2(4, 2)
Gli assi di simmetria sono x = 4 e y = -1.
Gli asintoti dell'iperbolen traslata hanno equazioni:
![]()
Ecco il grafico delle due iperbole:
![]()
Esempio 2: Rappresenta l'iperbole di equazione 4x2 - y2 - 48x + 4y + 156 = 0
Metodo del completamento del quadrato.
Riscriviamo l'equazione dell'iperbole raggruppando i termini con la x e quelli con la y4(x2 - 12x) - (y2 - 4y) + 156 = 0
Per ottenere il quadrato di un binomio all'interno di ogni parentesi aggiungiamo un opportuno termine noto e togliamo lo stesso termine fuori dalle parentesi.
4(x2 - 12x + 36) - 4⋅36 - (y2 - 4y + 4) + 4 + 156 = 0
4(x - 6)2 - 144 - (y - 2)2 + 4 + 156 = 0
4(x - 6)2 - (y - 2)2 = -16E dividendo entrambi i membri per 16 si ottiene:
![]()
Si tratta di un'iperbole con l'asse traverso parallelo all'asse y immagine dell'iperbole
![]()
nella traslazione di vettore v(6, 2). Il centro di simmetria ha coordinate 0(6, 2), i vertici reali hanno coordinate B1(6, -2) e B2(6, 6) e quelli non reali A1(4, 2) e A2(8, 2). Gli asintoti hanno equazioni y=2x-10 ∨ y=-2x+14
![]()