Le posizioni di una retta rispetto a un'iperbole
Per stabilire la posizione di una retta rispetto a un'iperbole si procede in maniera analoga a quanto fatto per la parabola. Bisogna considerare il sistema formato dall'equazione della retta e dall'equazione dell'iperbole. Se l'equazione risolvente è di secondo grado si studia il segno del discriminate. Se:
Δ > 0 si hanno due soluzione e la retta è secante in due punti all'iperbole
![]()
Δ = 0 si ha una sola soluzione doppia e la retta è tangente in un solo punto all'iperbole
![]()
Δ < 0 la retta è esterna all'iperbole.
![]()
Se l'equazione risolvente è di primo grado, la retta è parallela a un asintoto ed è secante in un solo punto all'iperbole.
![]()
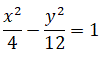
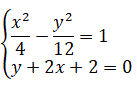
Esempio1: studiamo che posizione ha la retta y+2x+2=0 rispetto all'iperbole
![]()
Impostiamo il sistema:
![]()
Ricaviamo la y dall'equazione della retta e sostituiamola in quella dell'iperbole otteniamo cosí l'equazione risolvente di secondo grado in x:
![]()
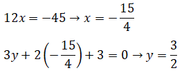
Il discriminante dell'equazione è Δ = 64 - 64 = 0 e quindi la retta è tangente all'iperbole. L'equazione risolvente ha per soluzione x = -4 e sostituendo questo valore nell'equazione della retta si ha y = 6. Pertanto la retta è tangente all'iperbole nel punto P(4, 6).
![]()
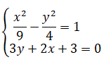
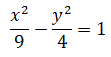
Esempio2: studiamo che posizione ha la retta 3y+2x+3=0 rispetto all'iperbole
![]()
Impostiamo il sistema:
![]()
Ricaviamo la y dall'equazione della retta e sostituiamola in quella dell'iperbole otteniamo cosí l'equazione risolvente di primo grado in x:
![]()
Poichè l'equazione risolvente è di primo grado, la retta è secante all'iperbole in un solo punto. Infatti risolvendo si ha:
![]()
![]()
Osservazione: il coefficiente angolare della retta è -2/3 pertanto la retta è parallela all'asintoto
![]()
Quante rette tangenti a un'iperbole si possono tracciare passanti per un dato punto P?
Dipende dalla posizione del punto P rispetto all'iperbole;
se P è esterno all'iperbole si possono tracciare due rette tangenti
![]()
se P è un punto dell'iperbole si può tracciare una sola retta tangente
![]()
se P è interno all'iperbole non si può tracciare nessuna retta tangente
![]()
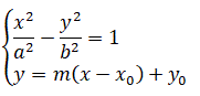
Per determinare le rette tangenti a un'iperbole passante per un punto P(x0, y0) esterno alla parabola si procede cosí:
si scrive l'equazione del fascio di rette proprio di centro P:
y = m(x - x0) + y0
si scrive il sistema formato dalle equazioni del fascio di rette e dell'iprbole:
![]()
si scrive l'equazione risolvente del sistema e si impone il discriminante uguale a zero (condizione di tangenza):
si ottiene un'equazione di secondo grado in m:
si ricavono i due valori di m:
m1; m2
si determinano le due rette sostituendo i due valori di m nell'equazione del fascio di rette:
y = m1(x - x0) + y0; y = m2(x - x0) + y0
Ad esempio, determiniamo le tangenti all'ellisse 3x2-4y2=12 passanti per il punto P(-1, 2).
Scriviamo il sistema fascio-iperbole:
![]()
Scriviamo l'equazione risolvente del sistema:
(3-4m2)x2 + (-8m2-16m)x - 4m2 - 16 m - 28 = 0
Imponiamo il discrminante uguale a zero:
Δ = (-8m2 - 16 m)2 - 4(3 - 4m2)(-4m2 - 16m - 28) = 0
Sviluppando si ottiene l'equazione di secondo grado in m:
3m2 - 4m - 7 = 0
che ha per soluzione:
m1 = -1 e m2 = 7/3
sostituiamo i due valori di m nell'equazione del fascio di rette:
y=-x+1 e 3y - 7x - 13 = 0
![]()
Il metodo per determinare le rette tangenti a un'iperbole passante per un punto P(x0, y0) esterno all'iperbole è valido anche nel caso in cui il punto P(x0, y0) appartenga all'iperbole. In questo caso quando si impone la condizione di tangenza, cioè la condizione che sia nullo il discriminante dell'equazione risolvente del sistema fascio-iperbole si ottiene un'equazione di secondo grado in m che ha per soluzioni due valori coincidenti di m cioè m1=m2.
Ad esempio, troviamo l'equazione della tangente all'iperbole 3x2 - 4y2 = 12 passante nel suo punto P(4,-3).
Scriviamo il sistema fascio-iperbole, individuiamo l'equazione risolvente del sistema, imponiamo il discriminante uguale a zero e determiniamo m:
![]()
La retta tangente è quindi:
y= -x + 1
Ecco il grafico:
![]()
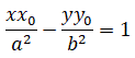
Nel caso in cui il punto P(x0, y0) appartenga all'iperbole si può usare la formula di sdoppiamento che permette di ottenere direttamente l'equazione della retta tangente all'iperbole in quel punto utilizzando l'equazione:
![]()
Ad esempio, applicando questa formula, possiamo determinare direttamente l'equazione della retta tangente all'iperbole 3x2 - 4y2 = 12 passante nel suo punto P(4, -3) dell'esempio precedente:
![]()