Iperbole equilatere
Le iperbole con il centro nell'origine e con gli assi traverso e non traverso congruenti (a = b) vengono dette iperbole equilatere
![]()
Le iperbole equilatere con i fuochi sull'asse x hanno equazioni:
x2 - y2 = a2
mentre quelle con i fuochi sull'asse y hanno equazioni:
x2 - y2 = -a2
Tutte le iperbole equilateri hanno per asintoti le rette di equazioni y = ± x, la semidistanza focale c = a√2 e eccentricità e = √2. Ad esempio l'iperbole equilatera di equazione x2-y2=4 ha per vertici:
A1(-2, 0), A2(2, 0), B1(0, -2), B2(0, 2)
e per fuochi:
F1(-2√2, 0), F2(2√2, 0).
![]()
Gli asintoti delle iperbole equilatere coincidono con le bisettrici dei quadranti e sono perpendicolari fra loro. E' possibile quindi, riferire l'equazione di un'iperbole equilatera non agli assi cartesiani ma ai propri asintoti. Basta ruotare di 45° in senso antiorario il sistema di riferimento xOy attorno a O e gli asintoti di un'iperbole equilatera diventano gli assi x' e y' di un nuovo sistema di riferimento per l'iperbole.
![]()
Poichè la rotazione è un movimento rigido lascia invariate le distanze e quindi lascia invariati la distanza focale, l'asse traverso e l'eccentricità che sono gli elementi che caratterizzano la forma dell'iperbole. Se P(x, y) è un punto della parabola equilatera, le coordinate del punto P'(x', y') ottenuto per rotazione antioraria di P, rispetto all'origine, di un angolo di 45° sono espresse dalle equazioni:
x' = x cos 45° - y sen 45°
y' = x sen 45° + y cos 45°
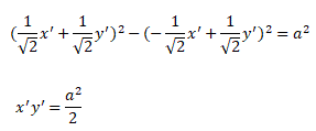
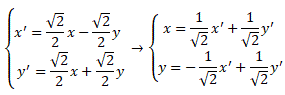
Vediamo allora come possiamo determinare l'equazione di un'iperbole equilatera riferita ai propri asintoti, presi come assi coordinati. Consideriamo una generica iperbole con centro nell'origine degli assi con i fuochi sull'asse x, e operiamo su di essa una rotazione di 45° in senso antiorario rispetto all'origine. Le equazioni della rotazione sono:
![]()
Sostituiamo nell'equazione dell'iperbole equlatera alla x e alla y le relazione trovate:
![]()
Ora, eliminando gli apici si ottiene l'equazione dell'iperbole equilatera riferita ai propri asintoti:
![]()
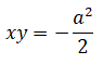
Se partiamo con un'iperbole equilatera con i fuochi sull'asse y e operiamo una rotazione antioraria di 45° rispetto all'origine l'equazione dell'iperbole equilatera riferita ai propri asintoti diventa:
![]()
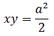
Se indichiamo con k l'espressione costante del secondo membro possiamo esprimere l'equazione dell'iperbole equilatera riferita ai propri asintoti in una forma più semplice:
xy = k
dove k è una costante positiva o negativa. Se k è positiva i rami dell'iperbole sono nel primo e nel terzo quadrante, invece se k è negativo i rami dell'iperbole sono nel secondo e quarto quadrante.
![]()
Le iperbole equilatere riferite ai propri asintoti sono simmetriche rispetto alle bisettrici dei quadranti e rispetto all'origine.
Se k > 0:
i vertici reali hanno coordinate A1(-√k, -√k), A2(√k, √k)
i vertici non reali hanno coordinate B1(+√k, -√k), B2(-√k, +√k),
i fuochi hanno coordinate F1(-√2k, -√2k), F2(+√2k, +√2k)
Ricordiamo che l'equazione xy = k indica anche che c'è una relazione di proporzionalità inversa tra le variabili x e y.
Come esempio studiamo le caratteristiche dell'iperbole xy = -9.
Essendo k < 0 i due rami dell'iperbole sono nel secondo e quarto quadrante e quindi ha per asse traverso la bisettrice y=-x. I vertici sono i punti B1(3, -3), B2(-3, 3), A1(-3, -3), A2(3, 3), i fuochi sono F1(3√2, -3√2), F2(-3√2, +3√2)
![]()