L'iperbole come luogo geometrico
Da un punto di vista geometrico l'iperbole è il luogo dei punti P del piano per i quali è costante la differenza delle distanze da due punti fissi F1 e F2 detti fuochi.
![]()
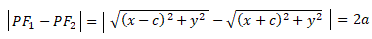
Come si vede dal grafico, la differenza delle distanze PF1 - PF2 può essere positiva se il punto P è più vicino a F2 oppure negativa se il punto P è più vicino a F1. Per includere tutti e due i casi si utilizza il valore assoluto:
![]()
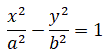
Vediamo ora, come possiamo tradurre in termini algebrici la definizione geometrica dell'iperbole. L'equazione dell'iperbole nel piano cartesiano dipende da come si fissa il sistema di riferimento. Esaminiamo, per ora, il caso più semplice: fissiamo il sistema di riferimento in modo che i fuochi appartengono all'asse x e l'origine stia nel punto medio del segmento F1F2.
![]()
Indichiamo con 2c la distanza focale tra F1 e F2 e con 2a la differenza costante delle distanze dei punti dell'iperbole dai fuochi. Consideriamo il triangolo PF1F2, e poichè un lato è sempre maggiore della differenza degli altri due, possiamo scrivere:
2a < 2c ossia a < c:
![]()
Con queste condizioni le coordinate dei fuochi sono:
F1(-c, 0) e F2(c, 0)
Se P(x, y) è un generico punto dell'iperbole le distanze di P dai fuochi sono:
![]()
e la differenza fra le due distanze deve essere uguale a 2a:
![]()
Pertanto l'uguaglianza:
![]()
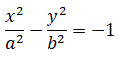
rappresenta l'equazione dell'iperbole con i fuochi appartenenti all'asse x. Questa equazione può essere resa più semplice eliminando le radici elevando più volte entrambi i membri al quadrato. In questo modo si ottiene l'equazione:
(c2 - a2)x2 - a2y2 = a2(c2 - a2)
e ponendo c2 - a2 = b2 l'equazione diventa:
![]()
Questa è l'equazione canonica o normale dell'iperbole. Osservazioni:
Come si può facilmente notare l'iperbole è simmetrica sia rispetto all'asse x sia rispetto all'asse y e ha come centro di simmetria l'origine degli assi. Questo significa che se un punto P1(x1, y1) appartiene all'iperbole allora anche i punti:
P2(x1, -y1), P3(-x1, -y1), P4(-x1, y1)
appartengono all'iperbole.
![]()
Mettendo a sistema l'equazione dell'iperbole e l'equazione dell'asse x e risolvendo il sistema si ottiene:
![]()
e i punti A1(-a, 0) e A2(a, 0) sono le intersezioni dell'iperbole con l'asse x e sono detti vertici reali dell'iperbole. L'iperbole non interseca l'asse y, tuttavia conviene prendere in considerazione i punti B1(0, -b) e B2(0, b) che sono detti vertici non reali dell'iperbole. Il segmento A1A2 è detto asse traverso, mentre il segmento B1B2 è detto asse non traverso. Se scriviamo l'equazione dell'iperbole sotto forma:
![]()
ne segue che x2-a2 è maggiore di zero e quindi risulta x ≤ -a ∨ x ≥ a. Questo vuol dire che L'iperbole è esterna alla striscia delimitata dalle rette x=-a e x=a e quindi è una curva illimitata formata da due rami distinti. Se consideriamo il rettangolo con i lati paralleli agli assi cartesiani e aventi come punti medi i vertici reali e non reali dell'iperbole si ha per il teorema di Pitagora:
c2 = a2 + b2
Inoltre, le due rette che contengono le diagonali del rettangolo e che hanno equazione:
![]()
sono dette asintoti dell'iperbole perchè l'iperbole pur avvicinandosi molto a queste rette, non le interseca. In altre parole, queste due rette possono essere considerate tangenti all'iperbole ad una distanza infinitamente grande dall'origine.
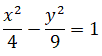
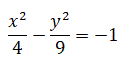
Ad, esempio, studiamo le caratteristiche dell'iperbole di equazione:
![]()
Possiamo dire subito che:
a = 2, b = 3, c2 = 4 + 9 = 13 ossia c = √13,
Le coordinate dei fuochi sono: F1(-√13, 0) e F2(√13, 0)
Le coordinate dei vertici reali sono: A1(-2, 0) e A2(2, 0)
Le coordinate dei vertici non reali sono: B1(0, -3) e B2(3, 0)
Le equazioni degli asintoti sono:![]()
E il grafico dell'iperbole è:
![]()
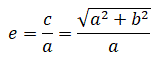
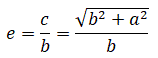
Il rapporto fra la semi distanza focale e la semi lunghezza dell'asse traverso dell'iperbole è detto eccentricità ed è indicato con la lettera e:
![]()
Essendo c maggiore di a l'eccentricità è un numero reale maggiore di 1. Il valore numerico dell'eccentricità indica il grado di apertura dell'iperbole. Nel caso limite per e = 1 l'iperbole degenera in due semirette con origine nei fuochi. BR>
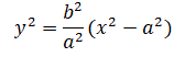
Esaminiamo, ora, il caso in cui l'iperbole abbia i fuochi sull'asse y. Il sistema di riferimento viene fissato in modo che i fuochi appartengono all'asse y e l'origine stia nel punto medio del segmento F1F2.
![]()
Il procedimento per determinare l'equazione delle iperbole di questo tipo è analogo a quello precedente anche se la differenza costante delle distanze dei punti dell'iperbole dai fuochi è indicata con 2b:
| PF1 - PF2 | = 2b
e le coordinate dei fuochi sono:
F1(0, -c) e F2(0, c)
Eseguendo gli stessi passaggi effettuati per l'iperbole con i fuochi sull'asse x, ponendo però c2-b2=a2 si ottiene l'equazione canonica dell'iperbole con i fuochi sull'asse y:
![]()
In questo caso l'asse y è l'asse traverso mentre l'asse x è l'asse non traverso, i punti B1(0, -b) e B2(0, b) sono i vertici reali mentre i punti A1(-a, 0) e A2(a, 0) sono i vertici non reali. Inoltre, l'eccentricità diventa:
![]()
e gli asintoti sono:
p align="justify">Ad, esempio, studiamo le caratteristiche dell'iperbole di equazione:
![]()
Possiamo dire subito che:
a = 2, b = 3, c2 = 4 + 9 = 13 ossia c = √13,
Le coordinate dei fuochi sono: F1(0, -√13) e F2(0, √13)
Le coordinate dei vertici non reali sono: A1(-2, 0) e A2(2, 0)
Le coordinate dei vertici reali sono: B1(0, -3) e B2(0, 3)
L'eccentricità e = 1,2
Le equazioni degli asintoti sono:![]()
E il grafico dell'iperbole è:
![]()