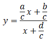
La funzione omografica
Un'iperbole equilatera riferita ai propri asintoti traslata nel punto
ha per equazione:
![]()
Questa equazione è detta funzione omografica.
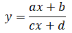
Le due condizioni c≠0 e ad-bc≠0 sono necessarie perchè altrimenti l'equazione
rappresenterebbe una retta. Gli asintoti di queste iperbole sono le rette parallele agli assi cartesiani di equazioni:
![]()
Vediamo alcuni esempi:
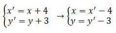
Esempio 1: Deteminiamo l'equazione dell'iperbole che si ottiene traslando con vettore v(4, 3) l'iperbole equilatera di equazione xy = 1.
Scriviamo le equazioni della traslazione:
![]()
Sostituiamo nell'equazione data le relazioni di x e y togliendo gli apici:
![]()
Risolviamo rispetto alla y:
![]()
L'equazione cosí ottenuta rappresenta un'iperbole che ha centro in O'(4, 3) e asintoti paralleli agli assi cartesiani di equazione x = 4 e y = 3.
![]()
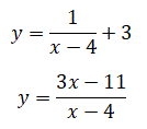
Esempio 2: Disegniamo il grafico dell'iperbole equilatera di equazione:
![]()
Dall'equazione si ha: a=4, b=1, c=3, d=-6, pertanto le equazioni degli asintoti sono:
![]()
e le coordinate del centro di simmetia sono:
![]()
L'iperbole interseca l'asse y nel punto:
![]()
e interseca l'asse x nel punto:
![]()
Ecco il grafico:
![]()
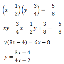
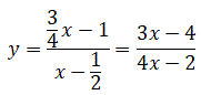
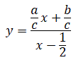
Esempio 3: Determiniamo l'equazione della funzione omografica passante per i punti A(-2, 1) e B(1, -1/2) e con asintoto verticale x = 1/2.
Primo metodo: si parte dalla funzione omografica:
L'equazione della funzione omografica è del tipoe essendo c≠0 possiamo dividere numeratore e denominatore per c:
![]()
Conoscendo l'asintoto verticale:
![]()
possiamo scrivere:
![]()
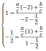
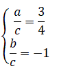
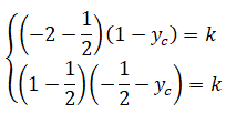
e imponendo il passaggio per i punti A e B si ottiene il sistema:
![]()
che ha per soluzione:
![]()
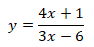
Pertanto la funzione omografica ha per equazione:
![]()
Ecco il grafico:
![]()
Secondo metodo: si parte dall'equazione dell'iperbole equilatera riferita ai propri asintoti traslata:
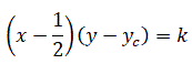
Consideriamo le coordinate del centro C dell'iperbole equilatera riferita ai propri asintoti traslata C(xc, yc) dove nel nostro caso xc=1/2. L'equazione dell'iperbole può essere scritta nella forma:
![]()
Imponendo il passaggio dell'iperbole per i punti A e B si ottiene il sistema:
![]()
che ha per soluzione:
![]()
Sostituendo i valori di k e di yc nell'equazione dell'iperbole e svolgendo i calcoli si ottiene:
![]()
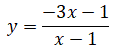
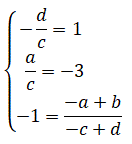
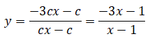
Esempio 4: Determiniamo l'equazione dell'iperbole traslata di centro C(1, -3) e passante per il punto A(-1, -1).
Primo metodo: si parte dalla funzione omografica:
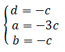
Considerando le coordinate del centro e il passaggio per il punto A si ottiene il sistema:
![]()
e risolvendo in funzione di c si ottiene:
![]()
Sostituendo le tre relazioni nell'equazione generale dell'iperbole equilatera riferita ai propri asintoti traslata si ha:
![]()
Secondo metodo: si parte dall'equazione dell'iperbole equilatera riferita ai propri asintoti traslata:
Consideriamo le coordinate del centro C dell'iperbole equilatera riferita ai propri asintoti traslata C(xc, yc) dove nel nostro caso xc=1 e yc=-3. L'equazione dell'iperbole può essere scritta nella forma:(x - 1)(y + 3) = k
e imponendo il passaggio per il punto A si ottiene:
(-1 - 1)(-1 + 3) = k → k = -4
Pertanto l'equazione dell'iperbole diventa:
(x - 1)(y + 3) = -4
Cioè
xy + 3x - y -3 = -4
(x-1)y = -3x - 1
![]()
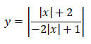
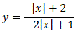
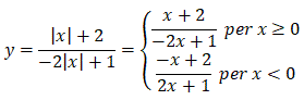
Esempio 5: Tacciamo il grafico della funzione
![]()
La funzione è, per definizione di valore assoluto, equivalente al sistema:
![]()
La prima funzione del sistema rappresenta la parte di iperbole equilatera riferita ai propri asintoti traslata che si trova nel primo e quarto quadrante, il suo centro di simmetria è C(4, 2) interseca l'asse y nel punti A(0, -3/2) e ha per asintoti x=4 e y=2. Ecco il grafico:
![]()
La seconda funzione del sistema rappresenta la parte di iperbole equilatera riferita ai propri asintoti traslata che si trova nel secondo e terzo quadrante, il suo centro di simmetria è C(4, -2) interseca l'asse y nel punti A(0, -3/2) e ha per asintoti x=4 e y=-2. Ecco il grafico:
![]()
Unendo i due grafici si ha:
![]()
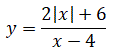
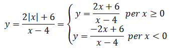
Esempio 6: Tacciamo il grafico della funzione
![]()
Per tracciare il grafico della funzione y=|f(x)| costruiamo il grafico di y=f(x) e poi simmettrizziamo le sue parti negative rispetto all'asse x. Consideriamo allora la funzione senza il valore assoluto più esterno:
![]()
Questa funzione è, per definizione di valore assoluto, equivalente al sistema:
![]()
La prima funzione del sistema rappresenta i rami di iperbole equilatera riferita ai propri asintoti traslata che si trovano nel primo e quarto quadrante, il suo centro di simmetria è C(1/2, -1/2) interseca l'asse y nel punti A(0, 2) e l'asse x nel punto B(-2, 0), e ha per asintoti x=1/2 e y=-1/2. Ecco il grafico:
![]()
La seconda funzione del sistema rappresenta i rami di iperbole equilatera riferita ai propri asintoti traslata che si trova nel secondo e terzo quadrante, il suo centro di simmetria è C(-1/2, -1/2) interseca l'asse y nel punti C(0, 2) e l'asse x nel punto D(2, 0) e ha per asintoti x=-1/2 e y=-1/2. Ecco il grafico:
![]()
Unendo i due grafici si ha:
![]()
Per ottenere il grafico della funzione data ribaltiamo i rami negativi nel semipiano positivo delle ordinate:
![]()
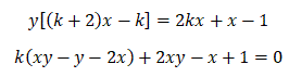
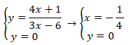
Esempio 7: Studiamo il fascio di funzioni omografiche di equazione
al variare di k ∈ ℜ e troviamo il luogo dei centri di simmetria.
L'equazione data rappresenta un fascio di funzione omografiche se si verificano le due condizioni c ≠ 0 e ad - bc ≠ 0:
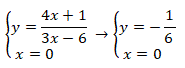
c = 0 se k + 2 = 0 cioè k = - 2. In tal caso l'equazione diventa:
![]()
che è l'equazione di una retta.
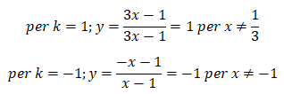
ad - bc = 0 se (2k + 1)(-k) - (-1)(k+2) = 0 cioè k = ±1. In tal caso l'equazione diventa:
![]()
cioè l'equazione della retta y=1 privata del punto (1/3, 1) oppure l'equazione della retta y=-1 privata del punto (-1, -1).
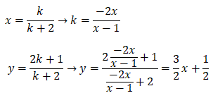
Quindi per k ≠ -2 ∧ k = ±1 si ha un fascio di funzioni omografiche con centro di simmetria e asintoti:
![]()
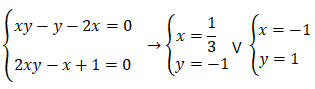
Determiniamo le generatrici del fascio scrivendo l'equazione data nella forma implicita:
![]()
Le generatrici del fascio sono le iperbole xy-y-2x=0 e 2xy-x+1=0. Determiniamo i punti base risolvendo il sistema tra le due generatrici:
![]()
I punti base sono quindi A(1/3, -1) e B(-1, 1). Determiniamo il luogo dei centri di simmetria. Ricaviamo k in funzione dell'ascissa e sostituiamolo nell'ordinata delle coordinate dei centri di simmetria.
![]()
Il luogo è quindi la retta 2y-3x-1=0 privata dei punti (1, 2), (-1, -1), (1/3, 1).