Come determinare l'equazione di un'iperbole
Come possiamo determinare l'equazione di un'iperbole con centro di simmetria nell'origine e fuochi su uno degli assi cartesiani?
Le equazioni delle iperbole di questo tipo dipendono dai due parametri a e b pertanto sono necessarie due informazioni indipendenti. Queste due informazioni dette condizioni ci permettono di poter impostare un sistema di due equazioni nelle due incognite a e b. Ecco ad esempio alcune possibili condizioni:
sono note le coordinate di un fuoco e di un vertice.
sono note le lunghezze dei due semiassi.
sono note le coordinate di due punti non simmetrici appartenenti all'iperbole.
sono note le coordinate di un fuoco e l'eccentricità.
sono note le coordinate di un vertice e l'eccentricità.
sono note le coordinate di un punto appartenente all'iperbole e l'eccentrocità.
sono note le coordinate di un vertice e l'equazione di una retta tangente all'iperbole.
Vediamo tre tipologie di problemi:
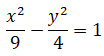
Problema 1: determina l'equazione dell'iperbole che ha per vertici i punti:A(-3, 0) e B(0, 2).
La conoscenza del vertice A(-3, 0) appartenente all'asse x ci informa che 2a = 6 e quindi a = 3. La conoscenza del vertice B(0, 2) appartenente all'asse y ci informa che 2b = 4 e quindi b = 2. Pertanto l'equazione dell'iperbole è:
![]()
Ecco il grafico:
![]()
Problema 2: determina l'equazione dell'iperbole passante per i punti
.
Primo caso: iperbole di equazione:![]()
Imponendo il passaggio per P e Q si ottiene il sistema:
![]()
Per risolvere più facilmente il sistema conviene porre:
![]()
Con questo cambio di variabili il sistema diventa:
![]()
che ha per soluzione:
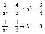
![]()
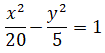
Tenendo conto del cambio di variabili effettuato l'equazione dell'iperbole è:
![]()
Secondo caso: iperbole di equazione:
![]()
Imponendo il passaggio per P e Q si ottiene il sistema:
![]()
Per risolvere più facilmente il sistema conviene porre:
Con questo cambio di variabili il sistema diventa:
![]()
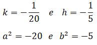
che ha per soluzione:
![]()
Essendo negativi sia a2 sia b2 il sistema non ha soluzioni e quindi non esiste un'iperbole che ha i fuochi sull'asse y e che passa per P e Q.
Ecco il grafico:
![]()
Problema 3: determina l'equazione dell'iperbole tangente in A(1, 1) alla retta r di equazione y=4x-3.
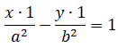
Conoscendo le coordinate del punto di tangenza possiamo applicare la formula di sdoppiamento:
![]()
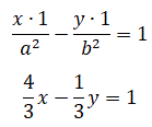
che rappresenta l'equazione della retta tangente all'iperbole nel punto A(1, 1) e quindi è equivalente alla retta r. Possiamo quindi confrontare le due equazioni:
![]()
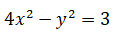
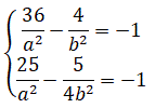
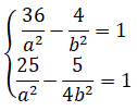
Dal confronto si desume che:
![]()
da cui si ottiene l'equazione dell'iperbole:
![]()
Ecco il grafico:
![]()