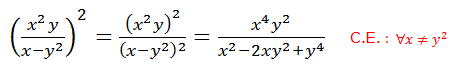
Potenza di una frazione algebrica

La Potenza di una frazione algebrica è una frazione algebrica che ha per numeratore la potenza del numeratore e per denominatore la potenza del denominatore. Ad esempio:

Anche per le frazini algebriche valgono le proprietà delle potenze:

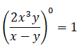
  • La potenza di una frazione algebrica con esponente nullo è sempre uguale a 1.

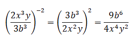
  • La potenza di una frazione algebrica con esponente intero negativo è uguale alla potenza con esponente opposto della frazione algebrica reciproca.

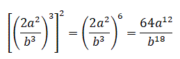
  • La potenza di una potenza di una frazione algebrica è uguale alla frazione algebrica con esponente il prodotto degli esponenti.

© giuseppe sarnataro