Moltiplicazione di frazioni algebriche

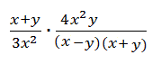
Il prodotto di due frazioni algebriche è una frazione algebrica che ha per numeratore il prodotto dei numeratori e per denominatore il prodotto dei denominatori. Ad esempio, eseguiamo la moltiplicazione tra le due frazioni algebriche:

Fattorizziamo, se è possibile, numeratore e denominatore delle frazioni da moltiplicare.

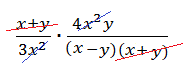
Operiamo tutte le possibili semplificazioni.

Eseguiamo il prodotto dei numeratori e il prododdo dei denominatori.

In pratica, nella moltiplicazione di due frazioni algebriche bisogna eseguire i seguenti tre passi:

  1. Fattorizzare, se è possibile, numeratore e denominatore delle frazioni da moltiplicare;

  2. Semplificare in croce tra numeratore e denominatore;

  3. Calcolare il prodotto dei numeratori e il prodotto dei denominatori.

© giuseppe sarnataro