Addizione algebrica di frazioni algebriche

La somma algebrica di due o più frazioni algebriche aventi lo stesso denominatore è una frazione che ha per denominatore il denominatore comune e per numeratore la somma algebrica dei numeratori. Ad esempio:

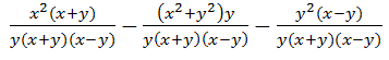
Se le frazioni algebriche da sommare non hanno lo stesso denominatore occorre quindi prima ridurle allo stesso denominatore e poi formare una frazione avente per numeratore la somma algebrica dei numeratori delle frazioni ridotte, e per denominatore il denominatore comune. Ad esempio, eseguiamo la somma algebrica delle tre frazioni algebriche:

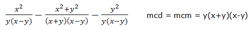
  • Primo passo: Fattorizziamo i denominatori e troviamo il minimo comune denominatore.

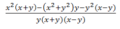
  • Secondo passo: Riduciamo a comun denominatore le tre frazioni.

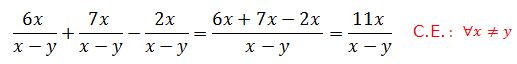
  • Terzo passo: Sommiamo le frazioni con lo stesso denominatore.

  • Quarto passo: Eseguiamo le moltiplicazioni al numeratore e sommiamo i risultati.

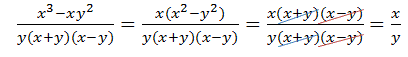
  • Quinto passo: Riduciamo ai minimi termini la frazione risultato della somma algebrica.

© giuseppe sarnataro