Divisione tra due frazioni algebriche

Analogamente a quanto avviene per le frazioni numeriche, viene definita frazione algebrica inversa o reciproca di una data frazione algebrica non nulla la frazione che si ottiene scambiando il numeratore col denominatore. Ad esempio l'inversa della frazione algebrica:

è la frazione algebrica:

Naturalmente, se si moltiplica una frazione non nulla per la sua inversa si ottiene 1.

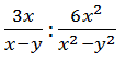
L'esistenza della frazione inversa per ogni frazione non nulla ci consente di affermare che nell'insieme delle frazioni algebriche la divisione è sempre eseguibile (con il divisore non nullo). La divisione viene infatti ricondotta alla moltiplicazione del dividendo per l'inverso del divisore. Quindi l'insieme delle frazioni algebriche (con l'esclusione delle frazione nulla) è chiuso rispetto alla divisione. Ad esempio eseguiamo la divisione:

Le condizioni di esistenza dei denominatori sono: C.E.: ∀x ≠ y, ∀x ≠ − y

Le condizioni di esistenza del denominatore del divisore sono: C.E.: ∀x ≠ 0

© giuseppe sarnataro