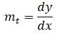
Tendere a zero
Nel XVII secolo Newton e Leibniz, indipendentemente l'uno dall'altro, partendo dal problema della determinazione dell'equazione della retta tangente ad una curva qualsiasi in un suo punto, diedero origine a un nuovo campo della matematica: il calcolo differenziale. Alla base del calcolo differenziale c'è il concetto di derivata di una funzione che dal punto di vista geometrico rappresenta il coefficiente della retta tangente alla curva in un dato punto, mentre dal punto di vista più generale permette di descrivere la velocità istantanea con cui varia una grandezza al variare dei fattori che ne determinano il valore e quindi di rappresentare un modello matematico per poter studiare tutti i fenomeni legati al movimento e al cambiamento.
Ad esempio, supponiamo di voler determinare il coefficiente angolare della retta tangente alla curva y=f(x) in un suo punto P(x0, f(x0)). Tracciamo sia la tangente alla curva passante per P sia una retta secante alla curva passante per il punto P e per un punto Q della curva vicino a P con Q(x0+h, f(x0+h)).
![]()
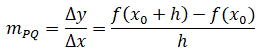
Il coefficiente angolare della retta secante PQ è dato dal rapporto incrementale:
![]()
dove:
Δy = f(x0 + h) - f(x0) è l'incremento della variabile dipendente y;
Δx = (x0 + h) - (x0) = h è l'incremento della variabile indipendente x.
Se ora riduciamo sempre di più il valore di h il punto Q si avvicina sempre di più al punto P e conseguentemente la retta secante PQ si avvicina sempre di più alla retta tangente alla curva nel punto P.
![]()
Anche il valore del coefficiente angolare della retta secante PQ si avvicina sempre di più al valore del coefficiente angolare della retta tangente alla curva nel punto P per cui quando più Q è vicino a P tanto più la retta secante approssima la tangente per P. Quando il punto Q coincide con il punto P e ciò si ottiene quando h è uguale a zero, cioè
x0 + h = x0
le rette secante e tangente coincideranno e avranno lo stesso coefficiente angolare. Ma in questo caso il valore del rapporto incrementale è indeterminato perchè è zero fratto zero:
![]()
e quindi non è possibile calcolare il coefficiente angolare della retta tangente. Da un punto di vista geometrico se Q coincide con P, allora si ha un punto solo, e per un punto passano infinite rette e il coefficiente angolare della retta tangente che stiamo cercando resta indeterminato. Per aggirare questa difficoltà si suppose che il valore di h non fosse proprio zero ma un numero infinitamente piccolo tale da non rendere indeterminato il valore del rapporto incrementale. Per Leibniz il coefficiente angolare della tangente alla curva, che fu successivamente chiamato derivata è uguale al quoziente fra gli incrementi infinitesimi della y e della x che indicava con la scrittura:
![]()
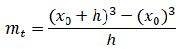
In questo modo la retta tangente alla curva è intesa come la retta avente in comune con la curva due punti infinitamente vicini, tali da avere una distanza infinitesima. Il ricorso al concetto di infinitesimo fu spesso criticato perchè era considerato un artificio poco rigoroso non potendo definire cosa sia un numero infinitesimo e cosa sia la distanza infinitesima. Inoltre, questa quantità infinitesima era utilizzata in modo incongruente perchè essendo diversa da zero poteva apparire come denominatore nel rapporto incrementale e essendo indefinitamente piccola la si poteva considerare zero nella somma. Nonostante le critiche questo metodo per determinare la derivata di una funzione, chiamato calcolo infinitesimale, ebbe un grande successo e un grande interesse perchè permetteva di risolvere molti problemi che avevano posto in difficoltà i matematici precedenti ed era diventato uno strumento indispensabile per un ulteriore sviluppo della matematica. Con il calcolo infinitesimale furono scoperte numerose applicazioni sia in matematica sia in altre discipline scientifiche. A poco a poco si capì che i successi delle applicazioni del calcolo infinitesimali non potevano in nessun modo giustificare la sua origine poco chiara e così nacque un bisogno diffuso di un maggior rigore e chiarezza nel calcolo infinitesimale. Passarono più di 150 anni prima di avere una formalizzazione rigorosa del concetto di derivata. Prima il matematico francese Augustin Louis Cauchy (1789-1857) e poi il matematico tedesco Karl Weierstrass (1815-1897) definirono in modo rigoroso il concetto di derivata mediante l'introduzione del concetto di limite inteso come la migliore "approssimazione" possibile della derivata. Per cui la retta tangente alla curva nel punto P è la retta limite a cui si avvicinano sempre di più le secanti PQ quando il punto Q si avvicina sempre più a P senza sovrapporsi a P. Ad esempio consideriamo la funzione f(x)=x3 e calcoliamo il coefficiente angolare della retta tangente alla curva nel punto di ascissa x0=1. Tracciamo la curva, la retta tangente alla curva nel punto di coordinate (1, f(x0)3) e consideriamo un intervallo (x0-h, x0+h).
![]()
Il rapporto incrementale è quindi:
![]()
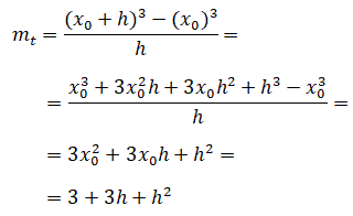
Svolgendo i cubi e ponendo x0=1 si ottiene:
![]()
Attribuendo ad h valori negativi e valori positivi sempre più piccoli otteniamo i valori di mt riportati in tabella:
![]()
Vediamo così che quando h assume valori sempre più vicini a 0 sia a destra che a sinistra di x0 i corrispondenti valori di mt tendono al valore 3. Questo fatto ci induce a dire che mt=3 rappresenta la migliore approssimazione del coefficiente angolare della retta tangente alla curva f(x)=x3 nel punto di ascissa x0=1 oppure che mt=3 rappresenta il valore del limite quando h tende a zero e scriveremo:
![]()
In altre parole, se i successivi valori numerici di h decrescono indefinitamente in modo da diventare minori di ogni numero dato allora ha zero come limite. Possiamo quindi definire la derivata di una funzione f(x) in un suo punto (x0, f(x0)) in questo modo:
se la funzione f(x) è continua, nel senso che non presenta buchi, in un certo intervallo [x0-a, x0+b] della variabile x e si assegna a questa variabile un incremento infinitesimo di h (con a<h<b) allora il limite del rapporto incrementale, se esiste, ha un valore finito. Questo limite prende il nome di derivata di f(x) in x0 e si indica con il simbolo f'(x0).
![]()