Equazioni fratte
Un'equazione è fratta se contiene almeno una frazione algebrica in cui l'incognita compare al denominatore. Ad esempio è fratta l'equazione:
![]()
Un'equazione fratta ha senso solo se hanno significato le frazioni algebriche che contiene. Occorre dunque, determinare le condizioni di esistenza delle frazioni algebriche presenti nell'equazione. Ad esempio, nell'equazione fratta:
![]()
dobbiamo escludere i valori di x che rendono nullo qualche denominatore. Valori che si determinano risolvendo le due equazioni: x − 2 = 0 e x + 1 = 0 cioè x = 2 e x = −1. Quindi le condizioni di esistenza dell'equazione sono:
C.E. = ∀x ≠ 2, ∀x ≠ − 1.
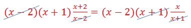
Anche per risolvere un'equazione fratta si applicano i due principi di equivalenza. Il primo passo consiste nell'eliminare le incognite dal denominatore e per far ciò si moltiplicano i due membri dell'equazione per il mcm dei denominatori. Poi si applica la stessa procedura utilizzata per le equazioni intere. Ad esempio, risolviamo l'equazione fratta:
![]()
il mcm dei denominatori è
(x − 2)(x + 1)
e quindi moltiplichiamo entrambi i membri per il mcm. Questo è possibile perchè abbiamo escluso che (x − 2) e (x + 1) siano uguali a zero.
![]()
Eseguiamo i prodotti:
![]()
Eliminiamo i termini uguali e portiamo al primo membro i termini con la x e al secondo membro i termini noti:
![]()
Sommiamo i termini simili:
![]()
Dividiamo entrambi i membri per il coefficiente dell'incognita. Si ottiene così la soluzione:
![]()
Ora dobbiamo controllare che la soluzione trovata non sia uno dei valori da escludere. Non lo è: dunque
è la soluzione.
Verifica:
![]()
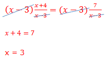
Bisogna tener presente che per un'equazione fratta è accettabile solo la soluzione che è compatibile con le condizioni di esistenza. Ad esempio, se risolviamo l'equazione:
![]()
si ottiene:
![]()
Ora, la soluzione trovata x = 3 non è accettabile perchè è il valore che è stato escluso nella condizione di esistenza e che rende nulli i denominatori. L'equazione, quindi, è impossibile.