Equazioni goniometriche lineare in seno e coseno

Le equazioni goniometriche del tipo:

asin x + bcos x + c = 0

dove a, b, c sono numeri reali con a ≠ 0 e b ≠ 0 sono dette equazioni goniometriche lineari. Vediamo come si risolvono questo tipo di equazione con alcuni esempi:

Esempio 1.

Consideriamo l'equazione:

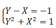
  • Primo metodo: utilizzo delle formule parametriche.

    Utilizzando le relazioni:

    (ricordando che t = tan x/2) l'equazione iniziale diventa:

    e risolvendo rispetto a t si ha:

    e ritornando alla variabile x si ottengono le due equazioni elementari:

    le cui soluzioni sono:

  • Secondo metodo: angolo aggiunto.

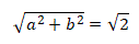
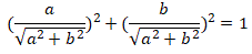
    Questo metodo permette di trasformare l'espressione asinx+bcosx nella forma elementare rsin(x+α). Per risolvere l'equazione asinx+bcosx+c=0 si divide primo e secondo membro per √(a2+b2) ottenendo l'equazione

    e dato che

    poniamo

    e utilizzando la formula di addizione l'equazione diventa:

    cioè un'equazione elementare che si risolve facilmente.

    Nel nostro caso a = 1 e b = -1 quindi

    Dividendo entrambi i membri per √2 otteniamo

    Si ha quindi

    L'equazione iniziale è quindi equivalente all'equazione elementare

    che ha soluzioni

  • Terzo metodo: grafico.

    Questo metodo permette di trasformare un'equazione lineare in seno e coseno in un problema di geometria analitica mediante i seguenti passi:

    Si associa all'equazione lineare la relazione fondamentale sin2x+cos2=1 in modo da ottenere il sistema:

    Poi ponendo cosx = X e sinx = Y si ottiene il sistema algebrico:

    Questo sistema può essere risolto graficamente determinando i punti di intersezione tra la retta Y=X-1 e la circonferenza goniometrica:


    Le soluzioni del sistema sono quindi:

    X=0, Y=-1 e X=1, Y=0

    Che corrispondono agli angoli di 0 e 3/4 Π per cui le soluzioni sono:

© giuseppe sarnataro