Equazioni goniometriche elementari
Un'equazione è detta goniometrica se l'incognita figura nell'argomento di almeno una funzione goniometrica (seno, coseno, tangente, secante, cosecante, cotangente). Ad esempio, l'equazione:
3 sin x - 2 = 0
è goniometrica perchè l'incognita figura nell'argomento della funzione goniometrica seno, mentre l'equazione
![]()
non è goniometrica perchè l'incognita non è presente nell'argomento della funzione goniometrica seno.
Risolvere un'equazione goniometrica significa determinare l'angolo incognito x che verifica l'uguaglianza tra il primo e il secondo membro dell'equazione. In questa prima parte ci occuperemo delle equazioni goniometriche elementari che sono quelle equazioni in cui compare una sola funzione goniometrica dell'incognita e sono del tipo:sin x = m;   cos x = m; tan x = m; cot x = m
con m ∈ R.
Equazioni goniometriche elementari del tipo sin x = m.
Esempio 1.
![]()
Prima considerazione: l'equazione è determinata perchè il secondo membro (1/2) è un numero reale compreso tra -1 e 1 e come sappiamo il seno di un angolo è sempre un numero compreso nell'intervallo [-1, 1].
Seconda considerazione: per risolvere questa equazione bisogna determinare l'angolo o gli angoli per i quali il valore del seno è 1/2 e ciò equivale a determinare quali sono i punti sulla circonferenza goniometrica che hanno per ordinata il valore 1/2. Possiamo determinare questi punti tracciando la circonferenza goniometrica, la retta y = 1/2 e individuare le intersezioni tra la circonferenza e la retta. Gli angoli associati a questi due punti sulla circonferenza rappresentano le soluzioni della nostra equazione.
![]()
Come si vede dalla figura la retta y=1/2 interseca la circonferenza goniometrica nel primo e nel secondo quadrante e a questi punti corrispondono gli angoli noti di 30° e 150° ai quali sono associati gli archi
![]()
In generale se l'angolo α è una soluzione dell'equazione anche Π - α è una soluzione dell'equazione. Essendo il seno una funzione periodica di periodo 2Π tutte le soluzioni della nostra equazione si possono scrivere in questo modo:
![]()
Esempio 2.
![]()
Essendo il secondo membro maggiore di 1 l'equazione sin x = 5/4 non ha soluzioni e quindi è impossibile.
Esempio 3.
![]()
Essendo il secondo membro compreso tra 1 e -1 l'equazione è determinata e quindi bisogna determinare i punti sulla circonferenza goniometrica che hanno per ordinata il valore 3/4. Tracciamo la circonferenza goniometrica, la retta y=3/4 e i punti di intersezione tra la circonferenza e la retta.
![]()
La retta y=3/4 interseca la circonferenza nel primo e secondo quadrante e a questi punti non corrispondono angoli noti o archi noti. Possiamo determinare i valori approssimati dei due angoli o dei due archi con una calcolatrice scientifica utilizzando la funzione inversa arcoseno. Le soluzioni dell'equazione sono:
![]()
Esempio 4.
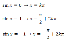
Casi particolari:
![]()
Equazioni goniometriche elementari del tipo cos x = m.
Esempio 1.
![]()
L'equazione è determinata perchè il secondo membro è compreso nell'intervallo [1, -1], bisogna quindi determinare i punti sulla circonferenza goniometrica che hanno per ascissa il valore -1/2. Per determinare questi punti tracciamo la circonferenza goniometrica, la retta x = -1/2 e le intersezioni tra la circonferenza e la retta. Gli angoli associati a questi due punti sulla circonferenza rappresentano le soluzioni della nostra equazione.
![]()
La retta x=-1/2 interseca la circonferenza nel secondo e nel terzo quadrante e a questi punti corrispondono gli angoli noti di 120° e 240° ai quali sono associati gli archi:
![]()
In generale se l'angolo α è una soluzione dell'equazione anche -α è una soluzione dell'equazione.Essendo il coseno una funzione periodica di periodo 2Π tutte le soluzioni della nostra equazione sono:
![]()
Esempio 2.
![]()
Essendo il secondo membro minore di -1 l'equazione cos x = -3/2 non ha soluzioni e quindi è impossibile.
Esempio 3.
![]()
Essendo il secondo membro compreso tra 1 e -1 l'equazione è determinata e quindi bisogna determinare i punti sulla circonferenza goniometrica che hanno per ascissa il valore 1/3. Tracciamo la circonferenza goniometrica, la retta x=1/3 e i punti di intersezione tra la circonferenza e la retta.
![]()
La retta x=1/3 interseca la circonferenza nel primo e quarto quadrante e a questi punti non corrispondono angoli noti o archi noti. Possiamo determinare i valori approssimati dei due angoli o dei due archi con una calcolatrice scientifica utilizzando la funzione inversa arcocoseno. Le soluzioni dell'equazione sono:
![]()
Esempio 4.
Casi particolari:
![]()
Equazioni goniometriche elementari del tipo tan x = m.
Esempio 1.
![]()
Prima considerazione: l'equazione è determinata perchè l'equazione tan x = m ammette soluzioni per ogni m ∈ R.
Seconda considerazione: l'equazione richiede di determinare quali sono i punti d'intersezione tra la retta di equazione y=mx e la circonferenza goniometrica. Nel nostro caso bisogna quindi determinare i punti di intersezione tra la retta y=x e la circonferenza goniometrica. Gli angoli associati a questi due punti sulla circonferenza rappresentano le soluzioni della nostra equazione.
![]()
La retta y=x interseca la circonferenza nel primo e nel terzo quadrante e a questi punti corrispondono gli angoli noti di 45° e 225° ai quali sono associati gli archi:
![]()
In generale se l'angolo α è una soluzione dell'equazione anche Π + α è una soluzione dell'equazione. Essendo la tangente una funzione periodica di periodo Π tutte le soluzioni della nostra equazione sono:
![]()
Esempio 2.
![]()
Tracciamo la circonferenza goniometrica, la retta y=5/4 x e i punti d'intersezione tra la retta e la circonferenza.
![]()
La retta y=5/4 x interseca la circonferenza nel primo e quarto quadrante e a questi punti non corrispondono angoli noti o archi noti. Possiamo determinare i valori approssimati dei due angoli o dei due archi con una calcolatrice scientifica utilizzando la funzione inversa arcotangente. Le soluzioni dell'equazione sono:
![]()
Esempio 3.
Caso particolare:
![]()