Altri tipi di equazioni goniometriche elementari

Le equazioni goniometriche del tipo:

sin f(x) = sin g(x);     cos f(x) = cos g(x);     tan f(x) = tan g(x)

si risolvono tenendo conto che due angoli:

  • hanno lo stesso seno se sono uguali o supplementari;

  • hanno lo stesso coseno se sono uguali o opposti;

  • hanno la stessa tangente se sono uguali.

Pertanto si ha:

Vediamo alcuni esempi:

Esempio 1.

Consideriamo l'equazione:

Imponendo che gli angoli siano uguali o supplementari si ha:

e risolvendo rispetto a x si ottiene:



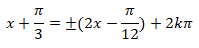
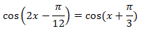
Esempio 2.

Consideriamo l'equazione:

Imponendo che gli angoli siano uguali o opposti si ha:

e risolvendo rispetto a x si ottiene:



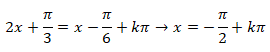
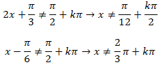
Esempio 3.

Consideriamo l'equazione:

Affinchè l'equazione abbia significato devono esistere le tangenti e quindi la condizione di esistenza è:

Imponendo che gli angoli siano uguali e risolvendo rispetto a x si ottiene:

La soluzione è accettabile essendo diversa dalla condizione di esistenza.

© giuseppe sarnataro