Equazioni goniometriche di secondo grado
Alcune equazioni goniometriche di secondo grado in seno, coseno, tangenti possono essere ricondotte a equazioni elementari mediante una sostituzione. Vediamo alcuni esempi:
Esempio 1.
Consideriamo l'equazione:
![]()
Ponendo sin x = t si ottiene un'equazione di secondo grado in t:
t2 + t - 2 = 0
e risolvendo rispetto a t si ottiene:
![]()
Pertanto l'equazione iniziale è equivalente alle due equazioni elementari:
sin x = -2 ∨ sin x = 1
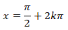
La prima equazione è impossibile, mentre la seconda ha per soluzione
![]()
Esempio 2.
Consideriamo l'equazione:
![]()
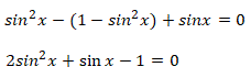
Ricordando che cos2 x = 1 - sin2 si ha:
![]()
Ponendo sin x = t si ottiene un'equazione di secondo grado in t:
2t2 + t - 1 = 0
e risolvendo rispetto a t si ottiene:
![]()
Pertanto l'equazione iniziale è equivalente alle due equazioni elementari:
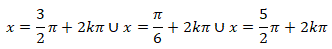
sin x = -1 ∨ sin x = 1/2
e le soluzioni sono:
![]()
Esempio 3.
Consideriamo l'equazione omogenea di secondo grado in seno e coseno:
![]()
Dividendo primo e secondo membro per cos2 x si ottiene un'equazione di secondo grado in tangente. Questa operazione è lecita solo se supponiamo che cos2 x sia diverso da zero e cioè che x sia diverso da Π/2+kΠ.
![]()
Ponendo tan x = t si ottiene un'equazione di secondo grado in t:
![]()
e risolvendo rispetto a t si ottiene:
![]()
Pertanto l'equazione iniziale è equivalente alle due equazioni elementari:
tan x = -1 ∨ tan x = √3
e le soluzioni sono:
![]()
Esempio 4.
Consideriamo l'equazione omogenea di secondo grado in seno e coseno con un termine noto diverso da zero:
![]()
Per eliminare il termine noto e ricondurci all'esempio precedente possiamo operare il seguente stratagemma:
-1 = -1 ⋅ 1 = -1 ⋅ (sin2 x + cos2 x)
Per cui l'equazione data diventa:
![]()
Applicando lo stesso procedimento dell'esempio precedente otteniamo un'equazione di secondo grado in tangente supponendo sempre che che cos2 x sia diverso da zero e cioè che x sia diverso da Π/2+kΠ.
![]()
Ponendo tan x = t si ottiene un'equazione di secondo grado in t e risolvendola si ha:
![]()
Pertanto l'equazione iniziale è equivalente alle due equazioni elementari:
tan x = -1 ∨ tan x = 1/2
e le soluzioni sono:
![]()