Grafico di una funzione lineare con modulo (seconda parte)
Dagli esempi che abbiamo visto possiamo facilmente intuire come si presenterà il grafico di una funzione lineare con valore assoluto del tipo:
![]()
Si agisce sul grafico di y = |x|, prima con una traslazione orizzontale di h unità (verso sinistra se h > 0, verso destra se h < 0) poi con una dilatazione verticale di fattore a se il valore assoluto di a è maggiore di 1 oppure una compressione verticale se il valore assoluto di a è compreso tra zero e uno. Poi un ribaltamento rispetto all'asse delle x se a è negativo e infine una traslazione verticale di k unità (verso l'alto se k > 0, verso il basso se k < 0).
Ad esempio tracciamo il grafico della funzione:
![]()
Dobbiamo agire sul grafico di y = |x| con una traslazione orizzontale di una unità a destra poi una dilatazione verticale di fattore 3 e infine con una traslazione verticale di 2 unità verso l'alto. Ecco la successione grafica dei vari passaggi:
![]()
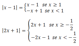
Verifichiamo la nostra intuizione tracciando le due semirette che corrispondono alla funzione presa in esame. Per definizione si ha:
![]()
e il suo grafico è dato dall'unione delle due semirette:
![]()
Ecco il grafico:
![]()
Ora, abbiamo tutte le informazione per tracciare il grafico di funzioni lineari, con valore assoluto, più complesse.
Esempio 1: Tracciamo il grafico della funzione:
![]()
Per definizione del valore assoluto si ha:
![]()
e il suo grafico è dato dall'unione delle due semirette:
![]()
Ecco il grafico:
![]()
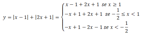
Esempio 2: Tracciamo il grafico della funzione:
![]()
Per definizione dei valori assoluti si ha:
![]()
la funzione è quindi equivalente al sistema:
![]()
e il suo grafico è dato dall'unione di due semirette e un segmento:
![]()
Ecco il grafico:
![]()
Esempio 3: Tracciamo il grafico della funzione:
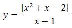
y = ||x| - 2|
Possiamo procedere in due modi distinti:
a) Cerchiamo di capire come agisce questa funzione: prende x, gli fa il modulo, gli toglie 2 e poi gli rifà il modulo. In altre parole le operazioni che bisogna eseguire in successione sono tracciare il grafico di y = |x| traslarlo verticalmente in basso di 2 unità e poi ribaltare rispetto alla retta y = 0 tutti i punti che hanno ordinata negativa. Come si vede sono operazioni che sappiamo eseguire.
Vediamo questa successione:
Primo passo:
Tracciamo il grafico di y = |x|
![]()
Secondo passo:
Trasliamo il grafico di y = |x| verso il basso di 2 unità, otteniamo cosí il grafico di y = |x| - 2
![]()
Terzo passo:
Simmetrizziamo rispetto alla retta y = 0 tutti i punti che hanno ordinata negativa otteniamo cosí il grafico di y = ||x| - 2|
![]()
b) Per definizione del modulo più interno si ha:
![]()
Per definizione del modululo esterno tenendo conto del modulo interno si ha:
![]()
Cioè
![]()
Cioè
![]()
e quindi il grafico che abbiamo già visto è composto da due semirette e due segmenti.
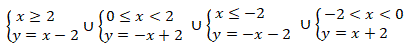
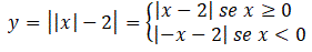
Esempio 4: Tracciamo il grafico della funzione:
![]()
Per definizione di modulo la funzione è quindi equivalente all'unione dei due sistemi:
![]()
Ecco il grafico:
![]()
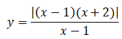
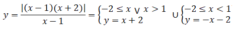
Esempio 5: Tracciamo il grafico della funzione:
![]()
Scomponendo il trinomio di secondo grado si ha:
![]()
Per definizione di modulo la funzione è quindi equivalente all'unione dei due sistemi:
![]()
Ecco il grafico:
![]()