Grafico di una funzione lineare con modulo (prima parte)

Tracciamo il grafico della funzione valore assoluto di x,

y = |x|

La funzione è definita per ogni valore reale di x (possiamo fare il modulo per ogni numero reale) e quindi il dominio della funzione è tutto l'asse x. Inoltre, la funzione è, per definizione di valore assoluto, data dal sistema


e il suo grafico corrisponde dall'unione delle due semirette:


Per definizione il modulo è sempre positivo o nullo e quindi il codominio della funzione, cioè l'insieme dei valori di y che la funzione può assumere è sempre positivo o nullo; Codominio = [0, +∞[ e il suo grafico apparterrà al semipiano delle ordinate positive o nulle (primo e secondo quadrante). Dunque per x ≥ 0, il grafico di y = |x| coincide, nel primo quadrante, con il ramo di retta di y = x, invece per x < 0 coincide, nel secondo quadrante, con il ramo di retta di y = -x. E quindi mettendo insieme questi due rami di rette si ha il grafico di y = |x|:


Osserviamo che il grafico ha in x = 0 una spigolosità o angolosità. Possiamo tracciare il grafico di y = |x| anche in un modo più semplice manipolando il grafico di y = x. Basta tracciare la retta y = x e poi ribaltare rispetto all'asse delle x (retta y = 0) la parte del grafico di y = x che si trova sotto di tale asse.


In generale:

per tracciare il grafico del valore assoluto di una funzione f(x) basta ribaltare rispetto all'asse delle x la parte del grafico di f(x) che si trova al di sotto di tale asse.

Vediamo alcuni casi:

  • Tracciamo il grafico della funzione y = |x + 2|. Per definizione del valore assoluto si ha:


    e il suo grafico è dato dall'unione delle due semirette:


    Ecco il grafico:


    Notiamo che questo grafico può essere ottenuto traslando orizzontalmente il grafico di y = |x| di due unità verso sinistra cioè, mettendo il punto del grafico che prima corrispondeva all'origine nel punto, (-2, 0). Possiamo ottenere questo grafico anche applicando la regola generale ribaltando rispetto all'asse delle x la parte del grafico di y = x + 2 che si trova al di sotto di tale asse.

  • Tracciamo il grafico della funzione y = |x - 3|. Per definizione del valore assoluto si ha:


    e il suo grafico è dato dall'unione delle due semirette:


    Ecco il grafico:


    Questa volta il grafico può essere ottenuto traslando orizzontalmente il grafico di y = |x| di tre unità verso destra cioè, mettendo il punto del grafico che prima corrispondeva all'origine nel punto, (+3, 0). Possiamo ottenere questo grafico anche applicando la regola generale ribaltando rispetto all'asse delle x la parte del grafico di y = x - 3 che si trova al di sotto di tale asse.

  • Tracciamo il grafico della funzione y = |x| + 1. Per definizione del valore assoluto si ha:


    e il suo grafico è dato dall'unione delle due semirette:


    Ecco il grafico:


    Il grafico può essere ottenuto traslando verticalmente il grafico di y = |x| di una unità verso l'alto cioè, mettendo il punto del grafico che prima corrispondeva all'origine nel punto, (0, +1).

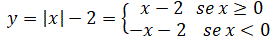
  • Tracciamo il grafico della funzione y = |x| - 2. Per definizione del valore assoluto si ha:


    e il suo grafico è dato dall'unione delle due semirette:


    Ecco il grafico:


    Il grafico può essere ottenuto traslando verticalmente il grafico di y = |x| di due unità verso il basso cioè, mettendo il punto del grafico che prima corrispondeva all'origine nel punto, (0, -2).

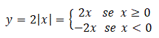
  • Tracciamo il grafico della funzione y = 2|x|. Per definizione del valore assoluto si ha:


    e il suo grafico è dato dall'unione delle due semirette:


    Ecco il grafico:


    Il grafico può essere ottenuto raddoppiando le ordinate di tutti i punti del grafico di y = |x|. L'effetto sul grafico di y = |x| è quello di una dilatazione in direzione verticale di fattore 2 come si vede dal confronto fra i due grafici.


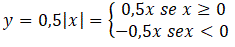
  • Tracciamo il grafico della funzione y = 0,5|x|. Per definizione del valore assoluto si ha:


    e il suo grafico è dato dall'unione delle due semirette:


    Ecco il grafico:


    Il grafico può essere ottenuto dimezzando le ordinate di tutti i punti del grafico di y = |x|. L'effetto sul grafico di y = |x| è quello di una compressione come si vede dal confronto fra i due grafici.


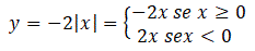
  • Tracciamo il grafico della funzione y = -2|x|. Per definizione del valore assoluto si ha:


    e il suo grafico è dato dall'unione delle due semirette:


    Ecco il grafico:


    Il grafico può essere ottenuto raddoppiando e cambiando i segni delle ordinate di tutti i punti del grafico di y = |x|.

© giuseppe sarnataro