Distribuzione normale

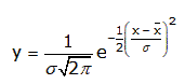
Un'importante teorema di statistica afferma che la curva di Gauss per una distribuzione normale dipende unicamente da due parametri: lo scarto quadratico medio e la media aritmetica come si vede anche dalla sua equazione:

dove Π ha il solito significato, e=2,7182818 è una costante irrazionale e i parametri sono lo scarto quadratico medio e la media aritmetica dei dati. Si può dimostrare inoltre che se una serie di dati ha una distribuzione normale allora:

Da un punto di vista teorico si tratta di un risultato importante. Se sappiamo che i nostri dati hanno una distribuzione normale e conosciamo media e scarto quadratico medio allora possiamo avere un'idea molto precisa di come i dati siano distribuiti. Nella realtà si verificano situazioni un pò diverse dalla teoria perchè:

  • le classi di dati non variano con continuità ma variano per valori discreti;
  • le distribuzioni, difficilmente sono esattamente normali e quindi l'istogramma delle frequenze non è perfettamente simmetrico: lo sarà solo approssimativamente.

Tuttavia i risultati teorici che abbiamo enunciato continueranno, seppur approssimativamente, a valere.

© giuseppe sarnataro