La media aritmetica
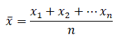
Esaminiamo ora, il terzo indice di posizione centrale la media aritmetica, cioè il valore numerico che si ottiene sommando tutti i dati e dividendo il risultato per il numero dei dati. Indicando con:
x1, x2, …, xn
gli n dati si ha:
![]()
Alla base del concetto di media aritmetica c'è un'idea semplice. Supponiamo che uno studente abbia avuto, nell'arco dell'anno, i seguenti 10 voti in una certa materia:
5; 4; 5; 6; 6,5; 7; 6; 4; 4; 5,5
La somma dei voti è:
5 + 4 + 5 + 6 + 6,5 + 7 + 6 + 4 + 4 + 5,5 = 53
La media aritmetica è quel numero che sostituito a ciascuno dei numeri precedenti dà la stessa somma. E' chiaro che per ottenerlo dovremo distribuire tale somma in 10 parti uguali; divideremo quindi 53 per 10
53 : 10 = 5,3
E allora la somma precedente equivale alla somma:
![]()
dove al posto di ciascuno dei voti originari compare la loro media:
![]()
Può accadere che si debba calcolare la media aritmetica per una serie di dati di cui si conosce la tabella delle frequenze; consideriamo ad esempio una tabella relativa al numero dei figli su un campione di 230 famiglie:
![]()
Per calcolare la media aritmetica dovremmo:
![]()
Cioè:
![]()
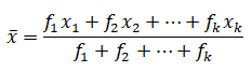
Per calcolare la media dei dati abbiamo in questo caso moltiplicato ciascun dato per la sua frequenza, poi abbiamo sommato questi prodotti e diviso per la somma delle frequenze. Quando si calcola la media aritmetica in questo modo si parla di media aritmetica ponderata perchè ogni dato compare nella somma a numeratore con un “peso” corrispondente alla sua frequenza. In generale:
Se, in una serie di dati numerici, i valori:
x1, x2, …, xk
si presentano rispettivamente:
f1 volte, f2 volte, …, fk volte
(cioè hanno frequenza f1, f2, …, fk) allora la media aritmetica dei dati è data dalla formula:
![]()
Esaminiamo infine il caso in cui si disponga di una tabella di frequenze di classe ma non si conoscano i dati di ciascuna classe. Consideriamo ad esempio la tabella:
![]()
relativa alle altezze, arrotondate al centimetro, di un gruppo di ragazzi. Dalla tabella sappiamo che ci sono 4 ragazzi la cui altezza cade nella classe 156-160 ma non sappiamo quali siano queste altezze. In una situazione di questo tipo non possiamo valutare in modo esatto la media aritmetica dei dati (perché la tabella delle frequenze di classe è una tabella di sintesi che ha ridotto l’informazione contenuta nell'intera massa di dati) ma possiamo facilmente stimarla. Basterà rappresentare ciascun valore di una data classe con la media aritmetica degli estremi di quella classe. Cosí, ad esempio, assumeremo che i dati della prima classe siano tutti uguali a
![]()
Ecco quindi come modificheremo la nostra tabella:
![]()
Come si vede nell'ultima colonna sono stati aggiunti i prodotti delle frequenze per quelli che abbiamo chiamato valori medi di ciascuna classe. Ora è immediato stimare la media aritmetica: basta sommare tali prodotti e dividere il risultato per la somma delle frequenze. Si trova quindi la stima della media aritmetica che è 172. E' importante sapere che la media aritmetica (seppure stimata) ci fornisca un'informazione di sintesi molto significativa rispetto al grande elenco dei dati grezzi. Un unico indice di posizione centrale, 172, ci dà un'idea di quale sia l'altezza media dei ragazzi. La media aritmetica presenta dei vantaggi e degli svantaggi rispetto agli altri indici di posizione: ha il vantaggio di coinvolgere nel calcolo tutti i dati ma lo svantaggio di essere influenzata dai valori estremi.