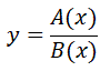
Asintoti di una funzione razionale

Una funzione razionale intera del tipo:

a0xn + a1xn-1 + a2xn-2 + ... + an

non ha asintoti di nessun genere.

Una funzione razionale fratta del tipo:


dove A(x) e B(x) sono due polinomi, ha:

  • Un asintoto verticale per ogni valore di x che annulla solo il denominatore B(x);

  • Un asintoto orizzontale coincidente con l'asse x se il grado di A(x) è minore del grado di B(x);

  • Un asintoto orizzontale parallelo all'asse delle x se il grado di A(x) è uguale al grado di B(x);

  • Un asintoto obliquo se il grado di A(x) supera di 1 il grado di B(x);

  • Nè asintoto orizzontale nè asintoto obliquo se il grado di A(x) supera di almeno 2 il grado di B(x);


In base a queste considerazioni siamo in grado di prevedere gli eventuali asintoti di una funzione razionale fratta. Vediamo alcuni esempi.

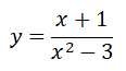
  • Esempio 1: Trovare gli eventuali asintoti della funzione

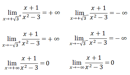
    Il denominatore si annulla per x=±√3 per cui la funzione ha due asintoti verticali di equazione rispettivamente x=+√3 e x=-√3 inoltre, essendo il grado del numeratore minore del grado del denominatore ha anche un asintoto orizzontale di equazione y=0. Verifichiamo:

  • Esempio 2: Trovare gli eventuali asintoti della funzione

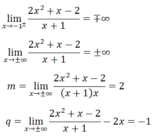
    Il denominatore si annulla per x=-1 per cui la funzione ha un asintoto verticale di equazione x=-1 inoltre, essendo il grado del numeratore maggiore di 1 del grado del denominatore ha anche un asintoto obliquo. Verifichiamo:

© giuseppe sarnataro