Asintoti orizzontali

Una retta perpendicolare all'asse delle y e di equazione y=l con lR è detta asintoto orizzontale per la funzione f(x) se e solo se si verifica:


Se il limite è uguale a l solo per x che tende a più infinito o per x che tende a meno infinito allora la retta y=l è un asintoto orizzontale destro o sinistro. Vediamo tre possibili rappresentazioni grafiche di asintoti orizzontali:






Dalle tre rappresentazioni grafiche si può osservare:

  • che la distanza tra un punto della curva e la retta asintoto orizzontale tende a zero al tendere di x a più o meno infinito;

  • un asintoto orizzontale può essere intersecato, (anche più volte) dal grafico della funzione.


Inoltre, a differenza degli asintoti verticali, che possono anche essere infiniti, il grafico di una funzione può avere al più solo due asintoti orizzontali diversi uno a +∞ e uno a -∞ come ad esempio la funzione arcotan x.


La ricerca dell'asintoto orizzontale si effettua solo se la funzione non è limitata e per determinare gli eventuali asintoti orizzontali bisogna calcolare il limite della funzione per x che tende a più infinito e a meno infinito e verificare se i limiti esistono e sono finiti. Anche in questo caso tutte le funzioni razionali intere pur essendo definite in tutto l'insieme dei numeri reali, non hanno asintoti orizzontali. Vediamo alcuni esempi:

  • Esempio 1: Trovare gli eventuali asintoti orizzontali della funzione

    La funzione è definita in tutto l'insieme dei numeri reali e per ricercare gli eventuali asintoti orizzontali calcoliamo il limite della funzione per x che tende a più infinito e a meno infinito.


    Pertanto la retta di equazione y=0 è un asintodo orizzontale destro della funzione come si può vedere anche dal grafico della funzione.


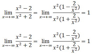
  • Esempio 2: Trovare gli eventuali asintoti della funzione




    La funzione è definita in tutto l'insieme dei numeri reali e per ricercare gli eventuali asintoti orizzontali calcoliamo il limite della funzione per x che tende a più infinito e a meno infinito.


    Quindi la retta di equazioni y=1 è un asintoto orizzontale della funzione come si vede anche dal grafico della funzione


© giuseppe sarnataro